近年来,素食主义(Vegetarianism)、纯素食主义(Veganism)逐渐成为潮流。这种新型的饮食方式要求人们减少或停止肉类的摄入,以期达到对健康的改善。逐渐地,这也代表了一种新的生活理念和生活态度。有部分研究表明,在某些人群中素食者相较于非素食者有较长的预期寿命然而,对此学界仍有很大的争议。
从旧石器时期开始,对肉类的摄入就占据了人类饮食的重要部分。有研究表明,肉类作为一种高质量食物来源,对人类大脑容量的增加起到推进作用。同时,消化肉类仅需要较短的肠道,这进一步推高了人类的脑重量占体重的比值[1]。从食物来源上来说,摄取植物或谷物也仅在农业开始后(约11000-9000年前)才有可能,而且受季节、气候的制约大。而肉类却可以从大小狩猎动物,鱼类,甚至昆虫中获取,成为全天候全年都可得到的食物来源。现代营养学研究表明,肉类可以提供人体需要的全部营养物质,特别是维生素,比如维生素B6,B12,K等,以及各种微量元素,如铁,硒,锌等。
为了给肉类饮食“正名”,厘清肉类摄入对人群预期寿命的影响,研究者从联合国相关机构调集了超过170个国家的数据(覆盖全球90%国家),进行了系统的统计学分析[2]。
这项研究于2月22日发表在International Journal of General Medicine上,题为:“Total Meat Intake is Associated with Life Expectancy: A Cross-Sectional Data Analysis of 175 Contemporary Populations”。
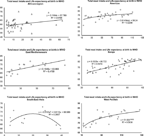
首先,从总体数据出发,研究者发现肉类摄入与人群预期寿命呈线性正相关,而与5岁一下儿童死亡率呈指数负相关。其次,研究者将全体国家按照地域分布划分成六个组别,分别是非洲,美洲,东南亚,欧洲,东地中海区域以及西太平洋区域。在非洲,美洲,欧洲,东地中海区域以及西太平洋区域中,肉类摄入与人群预期寿命的正相关性仍然成立。而在东南亚组中,人群预期寿命随着肉类摄入的增长而增长的趋势消失了。研究者认为这是因为东南亚国家人们的饮食方式和寿命水平都相当接近,从而这两者的相关性趋势无法通过统计学模型检验出来。
接下来,研究者将更多的自变量加入模型中,包括国内生产总值(GDP PPP)、碳水化合物摄入、总能量摄入、城市化水平,以及人群肥胖程度。他们发现将这些变量控制在同一水平后,肉类摄入与人群预期寿命仍呈显著正相关。而当排除肉类摄入与其他五个变量的影响后,碳水化合物摄入与人群预期寿命并无相关性。
为了进一步说明提高肉类摄入能延长人群预期寿命,研究者将这两者的关系在不同肉类摄入水平,经济发展水平,地理分布和文化背景的组别中进行了统计学分析。他们发现不管是在低肉类摄入水平还是高肉类摄入水平的组别中,该观点仍然成立。
总体来说,该研究表明了吃肉多的人群有着较高的预期寿命与较低的儿童死亡率,并且与社会经济发展水平、总能量摄入、城市化水平,以及人群肥胖程度无关。
研究者推断,实行素食主义的人能保持健康的原因,可能在于他们摄入了额外的营养素补充剂,或者未完全或者一贯地保持吃素的方式。很多实行素食主义的人并不是从小就吃素的。而在成人阶段吃素,营养素摄入限制产生的负面影响可能比在青春期时小不少。
另外有一项涵盖了超过50个国家的218,000位成年人的研究表明,经常性地摄入未处理的肉类(指未经腌渍,调味或烧制的肉类)有助于减少早亡风险并增加预期寿命[3]。
也许,肉食与素食本身不存在优劣;以什么方式吃,才是一个值得考虑的问题。
参考文献:
1.Leonard WR, Robertson ML. Evolutionary perspectives on human nutrition: the influence of brain and body size on diet and metabolism. Am J Hum Biol. 1994;6(1):77–88. doi:10.1002/ajhb.1310060111
2.You, W., Henneberg, R., Saniotis, A., Ge, Y., & Henneberg, M. Total Meat Intake is Associated with Life Expectancy: A Cross-Sectional Data Analysis of 175 Contemporary Populations. International Journal of General Medicine. 2022;15, 1833-1851.
3.Salim Y. Components of heart healthy diet may differ from what was previously thought, in European Society for Cardiology. Munich; 2018.
更多阅读:




