那些挖墙脚成功的人,会幸福吗?
挖墙脚 (mate poaching) 指的是,在一个人明知对方有伴侣的情况下,这个人依旧选择追求对方。很多选择挖别人墙脚的人会认为,“挖到了是我的本事”,“能被我挖到手,说明我们才是真爱”。
不过,一篇发表在《The Journal of Sex Research》的研究指出:经历过越多挖墙脚关系的人,亲密关系的质量越低,且ta们在现有的关系中出轨的几率更高。
在该研究中,653名正处在亲密关系中的美国成年人在线提交了有效问卷,其中有88名被试老实交代了自己是主动挖墙脚的人,116位被试报告自己是被挖的人,60位被试说自己会和对方互相挖;其余被试则是关系中的“老实人”,没有经历过挖墙脚关系。
研究人员也询问了被试目前的关系状态、在目前关系中是否有过不忠、对关系外性行为的看法,以及在当前关系中的满意度、信任度和嫉妒程度。
结果显示,那些经历过两次或以上挖墙脚关系的人,在关系中的嫉妒程度最高。而在过去的关系中挖墙脚或被挖的次数越多,在当前关系中的满意度也会越低。研究人员解释说,挖墙脚的人之所以亲密关系的质量不高,一部分原因是ta们对无承诺性行为(sex without commitment)的倾向更强烈、态度更开放。
有意思的是,研究者还发现:和没有过挖墙脚经历的人比起来,那些有过一次挖墙脚关系的人在当前关系中肉体出轨 (sexual infidelity) 的概率会增加约3.5倍,精神出轨 (romantic infidelity) 的概率会增加约4.5倍;而有过两次或以上挖墙脚经历的人的出轨概率会继续翻倍。
所以,别再天真地以为挖墙脚会带来真的幸福了。毕竟,今天ta可能被你挖了,明天ta也会被别人挖走;今天ta挖到了你,明天ta也能再去挖其他人……
显得难追会让你更吸引人?一定程度上是的,但长期不好说
在关系开始前,如何更吸引喜欢的人?有些人可能觉得,play hard to get没有必要;但也有些人认为,择偶的时候“挑”一点,会更好地展现自身的价值和魅力。到底哪种说法更科学呢?
最新一则发表在《社会与个人关系期刊》上的研究显示:当一个人看起来很难追的时候,追求者会为其赋予更高的求偶价值,从而对其产生更强烈的性欲望;为了再见到这个难追的人,对方也愿意付出更大的努力。
研究人员共进行了三组实验。在实验中,研究人员告知被试,ta将与另一位被试展开聊天。但实际上,聊天对象都是事先安排好的“演员”——一半的被试会被安排与一个在求偶过程中比较挑剔的人(“难追”设定)进行互动;而另一半被试会被安排与一个相对不挑剔的人(“好追”设定)聊天。之后,研究人员要求被试评估对方的难追程度、求偶价值,以及性吸引力。
无论是在线上互动的情境中(实验1),还是面对面交流中(实验2),结果均显示,被试感知到的难追程度越高,对对方求偶价值的评估越高,也会对对方更有性欲望。
第一组网上聊天实验中,难追和好追的两种档案各自得出的相关数据,截图自Birnbaum, G. E., Zholtack, K., & Reis, H. T. (2020). No pain, no gain: Perceived partner mate value mediates the desire-inducing effect of being hard to get during online and face-to-face encounters. Journal of Social and Personal Relationships, 37(8-9), 2510-2528.
而在第三组实验中,研究人员采取了更自然的线上聊天情境,并追加检验了被试在谈话结束时是否努力想要与对方有下一次的互动。结果与前两组实验一致:越难追的人在追求者眼里越有吸引力,追求者也越愿意努力去追。
诚然,这个结论看起来有些政治不正确,但对于那些总被人指摘“你就是太挑了才单身”的人们来说,或许是个好消息。毕竟,研究都说了,看起来很“挑人”的你,其实很迷人!
不过呢,我们也想要提醒大家,长期来看,亲密关系发展的质量还是取决于伴侣双方真实的自我,以及对彼此的真诚兴趣。并不鼓励大家一味追求策略哦~
吵架后想要更快和好?你需要用这种姿势
跟伴侣吵架的时候,你还在双手叉腰、大眼瞪小眼地跟ta讲道理吗?最近,一则发表在《Journal of Sex & Marital Therapy》上的研究发现,如果想要更快和好,可以试试在吵架的时候和伴侣手牵手!
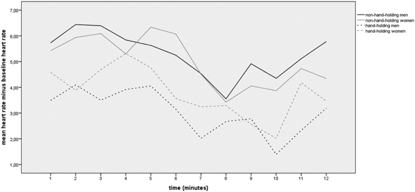
由H. J. Conradi等人带领的研究团队邀请了47对已恋爱一年以上的异性恋情侣作为被试,并将ta们分为“不牵手吵架”小组和“牵手吵架”小组。在实验中,被试情侣会就双方观点差异巨大的话题进行多轮讨论。在讨论中,研究团队会实时监测ta们的心跳次数,也会观察两人吵架时的有效和无效沟通次数。
结果显示,情侣在吵架时,牵手小组情侣男女双方的心率都会降低,有效沟通的比例增加,且正面情绪有所提升。
上图为情侣牵手吵架和不牵手吵架的心率对比;下两图为男女牵手吵架和不牵手吵架时有效和无效沟通占比的对比。截图自Conradi, H. J., Noordhof, A., & Arntz, A. (2020). Improvement of conflict handling: Hand-holding during and after conflict discussions affects heart rate, mood, and observed communication behavior in romantic partners. Journal of Sex & Marital Therapy, 46(5), 419-434.
为什么会这样?
学者们解释说,身体上的接触会促进身体分泌更多的催产素(Oxytocin),也会抑制在压力情境下皮质醇(Cortisol)的急剧上升。这些激素变化一方面会缓解我们在吵架时的种种生理反应,包括降低血压、减缓心率,同时也会让我们感受到更多的正面情绪。
其次,过去也有研究指出,当催产素水平上升时,人们会更能够建立有效沟通,对对方的信任感也会得到提升。而有了信任,情侣在沟通中更容易建立一种合作关系,而不是对立关系,从而在吵架后更容易和好。
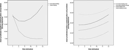
那,如果你吵架的时候不好意思牵手怎么办?吵架结束后牵手也很有效果哦!
这篇研究还发现,情侣吵完架之后手牵手,双方的心率一样会降低,让身体起到逐渐平静的效果;正面情绪同样也会得到有效提升。
情侣吵完架牵手和不牵手的心率对比。截图自Conradi, H. J., Noordhof, A., & Arntz, A. (2020). Improvement of conflict handling: Hand-holding during and after conflict discussions affects heart rate, mood, and observed communication behavior in romantic partners. Journal of Sex & Marital Therapy, 46(5), 419-434.
总之,拉着小手吵架好处多多,下次气得想把Ta“大卸八块”的时候,或许拉拉小手就不气了呢~ヽ(○´∀)乂(*´∀`*)乂(∀`●)
研究新发现:“女主内”可能让婚姻更不幸福
一对情侣开始同居或结婚后,遇到最大的难题之一,可能就是家务分配了:自己做的家务多了,会担心对方越来越懒;自己做得少了,ta又可能不高兴。
今年,一项发表在期刊《Socius: Sociological Research for a Dynamic World》上的论文探究了关系满意度与家务分配之间的联系。研究者通过分析2006年Marital and Relationship Survey中的数据,收集了美国487组已同居的异性恋伴侣的信息,并使用量表整理出男女双方在以下方面的自我报告:婚姻关系满意度、日常家务劳动分配情况、家务分配的公平感,以及伴侣之间的沟通质量。研究者控制的变量则包括,受访者的年龄、受教育程度、宗教信仰、带薪工作时长、自我评估的健康状况和平等的性别意识。

截图自Carlson, D. L., Miller, A. J., & Rudd, S. (2020). Division of housework, communication, and couples’ relationship satisfaction. Socius: Sociological Research for a Dynamic World, 6, 1-17.
分析结果表明,女性的沟通方式决定了双方如何分配家务。当女性做出负面沟通时,男性会做得更多,但是他们会对关系更不满意。
不过,男性的沟通方式并不影响双方如何分配家务,反而会被家务分配的结果所影响。当男性平等地承担家务时,他们能够更好地进行伴侣间沟通,而当女性主要承担家务时,男性的沟通则做得更差。
同时,对于女性来说,平等的家庭劳动分工对她们的关系满意度很重要;对于男性来说,关系满意度则取决于女方如何与他沟通,与做哪些家务没有关系。
也就是说,在家务分配这件事上,女方好好说,男方主动做,双方都满意;女方对家务大包大揽,男方不仅做得少,还学不会好好说话……
现在知道该怎么分配家务了吧~
“咸鱼使人幸福”有科学依据!
你还在一边咸鱼一边焦虑吗?瑞士苏黎世大学发表于《人格与社会心理学公报》(Personality and Social Psychology Bulletin)的一项研究发现:及时享乐和追求长期目标、保持自律一样,都可以使人得到长期的幸福。
在研究中,Katharina Bernecker等人开发了一份问卷,来测量被试即时享乐的能力(即,可以专注于自己当下的需要、投入并享受短期愉悦的能力)。通过问卷调查,研究者想探寻是否不同的人在及时享乐的能力上也有着差异,以及这样的能力和人们的幸福水平是否相关。
结果发现,一部分人在行为上选择及时享乐的时候,会同时受到关于长期目标想法的侵扰(intrusive thoughts),比如,躺在沙发上的时候忽然想起自己今天还没有做运动。与之相比,那些可以完全沉浸在咸鱼的快乐中的人,能获得更多的幸福感,也更少地遭受焦虑与抑郁的困扰。
所以说,最糟糕的不是只玩耍不努力,而是玩的时候也玩不踏实……
吃货更有责任心?爱打哈欠的人更友善?
这些小习惯竟然能揭示你的人格!
如果想从相处判断出对方的性格,你会关注什么?常见的判断方式可能通过社交关系、朋友圈,或者聊天内容。不过,一项最近发布在《欧洲人格杂志》(European Journal of Personality)上的研究发现,许多意想不到的行为习惯,其实都与我们的人格特质有关。
研究招募了462名被试,用随身录音设备记录ta们的日常生活,记录为期2-6天。之后,研究人员通过收集到的录音信息,对被试的行为和语言习惯进行了分析。

研究分析了五大人格特质和日常行为以及语言的相关程度。截图自Tackman, A. M., Baranski, E. N., Danvers, A. F., Sbarra, D. A., Raison, C. L., Moseley, S. A., . . . Mehl, M. R. (2020). “Personality in Its Natural Habitat” revisited: A pooled, multi‐sample examination of the relationships between the big five personality traits and daily behavior and language use. European Journal of Personality.
结果显示,人们的语言习惯很可能透露出个人的性格。比如,友善的人更喜欢不用“我”,而用“我们”作为主语;有责任感的人说话之前往往有更多的停顿。研究人员认为,这些关联可能是因为友善的人更在意人际关系,而有责任感的人行事说话前考虑更谨慎。
不过,也有一些关联是乍一看怎么也想不明白的。比如,外向的人不容易咳嗽打喷嚏、友善的人经常打哈欠、有责任感的人更喜欢吃……
虽然这项研究并不能表明性格和特定行为习惯之间存在任何因果关系,但它也从侧面印证了,性格对于人格特质的影响或许比我们已知的要广泛得多。
来自:KnowYourself
更多阅读:





