偏头痛,最常见的原发性头痛类型,全球范围内,有超13亿人饱受其折磨。根据头痛频率,偏头痛可分为每月头痛天数小于15天并且间歇有缓解的发作性偏头痛(episodic migraine,EM)和每月头痛天数大于15天的慢性偏头痛。
据统计,女性偏头痛的患病率是男性的三倍[1],其中,经期偏头痛约占女性偏头痛的60%。雌激素戒断假说认为,血浆中雌激素浓度的下降会引发偏头痛发作[2]。与这一假设相一致的是,偏头痛的频率和疼痛的严重程度在月经周期的围绝经期(更年期)较高,并且偏头痛的发病率在自然绝经后逐渐下降[3]。
一直以来,研究人员针对偏头痛发病机制、治疗及预防的探索从未停止。临床前研究表明,性激素波动可导致三叉血管系统的激活和随后降钙素基因相关神经肽(CGRP)的释放,CGRP在偏头痛的起始过程中起着关键作用,因而性激素的波动可能是育龄女性偏头痛高发的原因[4]。然而,关于人类的临床证据是不确定的。近日,来自德国著名的Charité医学院的Bianca Raffaell研究团队填补了这一空白。
该项研究[5]找到了女性在月经期偏头痛更频繁、更严重和更长期的原因,即,在女性发作性偏头痛参与者中,CGRP浓度存在激素依赖性变化。在月经期间女性激素发生波动,随后导致三叉血管系统CGRP释放量升高,从而导致了月经期女性偏头痛的高易感性。研究发表在《神经病学》上。

论文题图
另外,值得关注的是,该研究发现所有雌激素或孕酮水平与CGRP浓度之间的相关性分析都没有显示出任何有统计学意义的结果,表明似乎是激素水平的变化而非激素的绝对浓度在偏头痛发生过程中起作用。另外,对于Krause等人的假设:雌激素水平的下降可能导致CGRP信号通路的增加,并产生一种促偏头痛的状态,并增加偏头痛发作的易感性[6],该研究证明该假设只适用于较高水平的自然发生的雌激素浓度的降低,而不适用于绝经后稳定的低浓度。
此外,颇具创新性的是,该项研究还采用了从泪液中无创测量CGRP浓度的方法,相比于血浆中的CGRP会被内肽酶迅速剪切成更短的片段因而难以通过ELISA的方法准确检测[7],泪液中肽酶水平通常较低,蛋白水解活性低于血浆,因此ELISA测量的泪液中CGRP水平远高于血浆(80.5倍)。
另外,虽然CGRP在偏头痛病理生理学中的关键作用是无可争辩的,但血浆CGRP作为偏头痛的生物标志物的可行性仍然有争议[8]。并且外周血中CGRP的半衰期很短,可降解,加上CGRP释放后的稀释效应[9],因此准确测量CGRP具有挑战性。相比于血浆,泪液是更靠近三叉神经CGRP源的生物材料,故而泪液CGRP可能是一种更直接和更合适的偏头痛的生物标志物。
那么这项研究具体是如何进行的呢?让我们来一探究竟。
首先,经过严格的筛选,该项研究由个人背景特征相似的180名(每组30名)女性完成。作为一项有代表性的匹配队列研究,该研究队列包括三组EM(发作性偏头痛)女性参与者,一组为月经周期正常(RMC,regular menstrual cycle)的EM参与者(M-RMC),一组为接受联合雌激素-孕酮口服避孕药(COC)避孕治疗的EM参与者(M-COC),还有一组为绝经后的EM参与者(M-PM)。对照组则为三组年龄匹配的非EM女性参与者(C-RMC、C-COC和C-PM)。并且三组EM参与者在偏头痛的频率和强度方面保持相似,选择年龄匹配的非EM参与者,也全部没有其他重大疾病或常规药物治疗。

对研究参与者的描述
关于样品采集时间,具有RMC的女性参与者(包括M-RMC组和C-RMC组)有两次采样,第一次采样安排在月经周期第2±2天(月经期间),第二次采样安排在月经周期第13±2天(排卵周期)。之所以选择这两个时间间隔,是因为雌激素水平在月经期间最低,在排卵期间最高。COC女性参与者(包括M-COC组和C-COC组)也进行了两次采样:分别为HFI(hormone-free interval,无激素间期)第4±2天和HI(hormone intake,激素摄入期)第7-14天。对于绝经后的女性参与者(包括M-PM组和C-PM组)在一个可变的时间点只进行一次采样。
研究旨在分析在不同激素条件下,患有偏头痛的女性参与者和没有偏头痛的女性参与者的血浆和泪液中的CGRP浓度,以评估性激素和CGRP水平之间的关系,以及偏头痛的存在是否会影响这种关系。
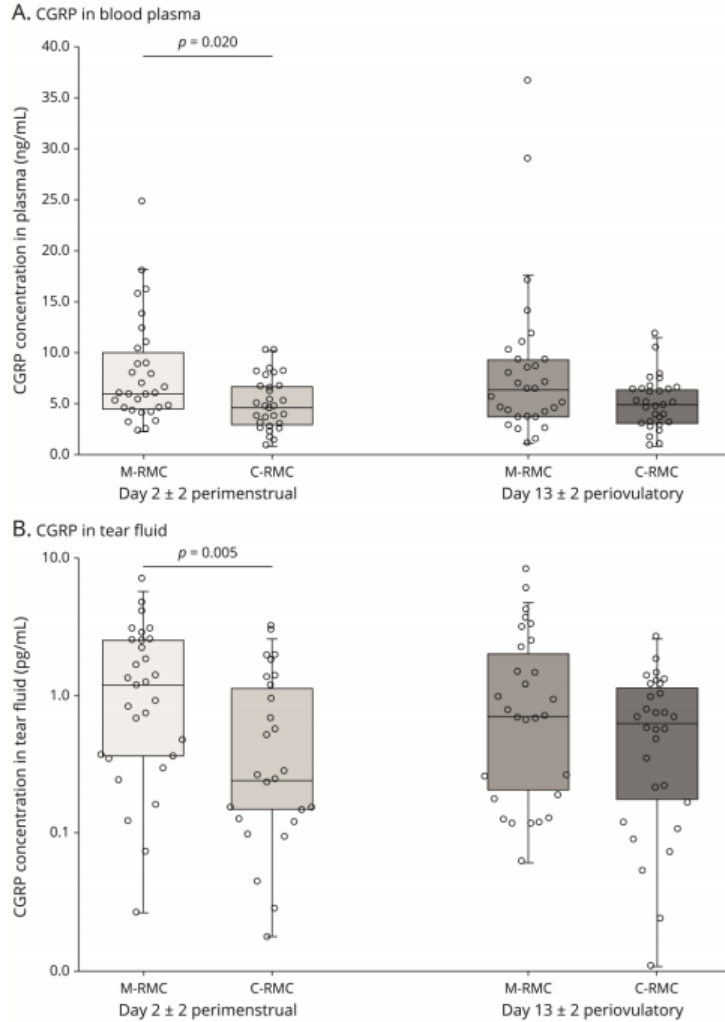
研究结果发现,在月经期间,具有正常月经周期的女性偏头痛参与者(M-RMC)血浆和泪液中的CGRP浓度均显著高于同样具有正常月经周期的没有偏头痛的女性参与者(C-RMC)。但在排卵期间,M-RMC组的CGRP水平虽然比C-RMC组更高,但未达到统计学意义。

M-RMC组和C-RMC组血浆和泪液中CGRP的浓度
接下来,研究对M-COC组和C-COC组进行比较分析,并发现两者均显示出自然产生的性激素浓度受到抑制,但在HFI期间和HI期间,两者血浆和泪液中的CGRP浓度并无差异。
之后,研究分析了M-PM组和C-PM组间的差异,结果表明两组均表现出高浓度LH(黄体生成素)和FSH(促卵泡激素)以及低浓度雌激素、孕酮和睾酮的生理激素谱,但两组之间的血浆和泪液中CGRP浓度并无显著差异。
在本项研究开展之前,研究人员曾在动物模型中发现,雌性性激素的缺乏增加了大脑不同区域的CGRP的表达[10-12]。并且在三叉神经的神经节中,去卵巢的大鼠内源性雌激素水平的下降导致CGRP表达显著增加,而雌激素替代治疗后CGRP表达降低[13],这些观察结果与本项在人体中的研究结果是一致的,由此,可以得出结论:在月经期间,女性生理雌激素的下降导致CGRP浓度的升高,进而引发相关炎症反应[14],并最终造成了女性在月经期间更频繁、更严重和更长期的偏头痛发作。
参考文献:
[1] Burch RC, Buse DC, Lipton RB. Migraine: Epidemiology, Burden, and Comorbidity. Neurologic clinics 2019; 37 (4): 631-649.
[2] Somerville BW. The role of estradiol withdrawal in the etiology of menstrual migraine. Neurology 1972; 22 (4): 355-365.
[3] MacGregor EA. Migraine, menopause and hormone replacement therapy. Post Reprod Health 2018; 24 (1): 11-18
[4] Labastida-Ramírez A, Rubio-Beltrán E, Villalón CM et al. Gender aspects of CGRP in
migraine. Cephalalgia 2019; 39 (3): 435-444.
[5] Raffaelli, Bianca et al. “Sex Hormones and Calcitonin Gene-Related Peptide in Women With Migraine: A Cross-sectional, Matched Cohort Study.” Neurology, 10.1212/WNL.0000000000207114. 22 Feb. 2023, doi:10.1212/WNL.0000000000207114
[6] Krause DN, Warfvinge K, Haanes KA et al. Hormonal influences in migraine interactions of oestrogen, oxytocin and CGRP. Nat Rev Neurol 2021; 17 (10): 621-633
[7] Edvinsson L, Ekman R, Goadsby PJ. Measurement of vasoactive neuropeptides in biological materials: problems and pitfalls from 30 years of experience and novel future approaches. Cephalalgia 2010; 30 (6): 761-766.
[8] Lee MJ, Lee SY, Cho S et al. Feasibility of serum CGRP measurement as a biomarker of chronic migraine: a critical reappraisal. J Headache Pain 2018; 19 (1): 53
[9] Lee MJ, Lee SY, Cho S et al. Feasibility of serum CGRP measurement as a biomarker of chronic migraine: a critical reappraisal. J Headache Pain 2018; 19 (1): 53.
[10] Wang D, Zhao J, Wang J et al. Deficiency of female sex hormones augments PGE2 and CGRP levels within midbrain periaqueductal gray. J Neurol Sci 2014; 346 (1-2): 107-111.
[11] Herbison AE, Spratt DP. Sexually dimorphic expression of calcitonin gene-related peptide (CGRP) mRNA in rat medial preoptic nucleus. Brain Res Mol Brain Res 1995; 34 (1): 143-148.
[12] Yang Y, Ozawa H, Lu H et al. Immunocytochemical analysis of sex differences in
calcitonin gene-related peptide in the rat dorsal root ganglion, with special reference to estrogen and its receptor. Brain Res 1998; 791 (1-2): 35-42.
[13] Aggarwal M, Puri V, Puri S. Effects of estrogen on the serotonergic system and
calcitonin gene-related peptide in trigeminal ganglia of rats. Ann Neurosci 2012; 19 (4): 151-157.
[14] MacGregor EA. Contraception and headache. Headache 2013; 53 (2): 247-276.
来自: 奇点神思
更多阅读:
