阿尔茨海默病(AD),已然成了当下老年人最忧虑的问题之一。
在缺乏相关治疗方法的前提下,预防就显得至关重要。大量证据表明,生活方式(如体力活动和认知刺激)可能会减轻与年龄相关的认知能力下降,延缓AD的发生,并增强认知储备(如思维速度和记忆力)[1-6]。
但是,其中的获益竟然也“因人而异”。
近日,美国加州大学圣地亚哥分校的Judy Pa博士和她的研究团队研究者发表在Neurology上的一项研究表明[7],参加的体力活动越多,女性的思维速度储备就越快,男性却没有观察到这种关联。但是,无论男女,参加更多的脑力活动均与思维速度储备增加有关。
同时,AD风险基因APOE 4会减弱女性的体力活动和脑力活动获益。
虽然一些回顾性研究的荟萃分析结果表明,运动与认知能力之间的关系在女性中比男性更强[8,9],但最近的的前瞻性研究(包括一项运动随机对照试验)显示男性在运动后的认知能力提升比女性更大[10]。所以男女相比,到底谁更能从运动中获益呢?
众所周知,APOE 4是AD的风险基因。那么,生活方式因素与认知储备之间的关联是如何受性别和APOE 4影响的呢?为了弄清楚这一问题,研究人员利用华盛顿高地–英伍德哥伦比亚老龄化项目(WHICAP)设计了这项研究。
研究纳入了758名参与者,平均年龄为76岁,62%为女性。其中,有些人没有思维或记忆问题(CN),有些人有轻微的认知障碍(MCI),还有些人患有痴呆症。参与者进行了脑部扫描、思维速度和记忆力测试,并采用限制性同分型测定APOE基因型[11]。
图源丨veer
为了量化生活方式因素,研究者们采纳了代谢当量(METS)和认知活动(COGACT)两项指标。METS由使用Godin休闲运动问卷[12]评估的身体活动转换而来,并构建为分钟数×次数×系数(9表示剧烈活动,5表示中等活动,3表示轻度活动)。
COGACT定义为在过去13个月内参与以下活动的总分:阅读杂志、报纸或书籍;上课;打牌或宾果游戏[13]。认知储备是当人们拥有强大的思维能力时可以产生的缓冲,该研究关注的记忆和思维速度储备,分别通过选择性提醒测试(完全回忆、立即回忆和延迟回忆)和颜色追踪测试A和B量化[14]。
研究者们首先分析了性别是如何改变生活方式因素与认知储备之间的关联的。在不考虑性别时,所有参与者的METS与思维速度储备呈正相关(β=0.05,95% CI: 0.01-0.08)。但性别分层分析显示,此关联仅在女性中存在(β=0.04,95% CI: 0-0.08),而男性中则未观察到。此外,无论男性还是女性,METS都与记忆储备无关(β=0.004,95% CI: -0.04-0.05)。
METS与思维速度和记忆储备之间的关系
对于COGACT而言,所有参与者的COGACT与思维速度储备存在正相关(β=0.13,95% CI: 0.05-0.21),不因性别而异。但具体来看,性别差异还是有点明显,平均每多参加一次认知活动,思维处理速度的老化就会减少13年,如果根据性别区分,女性减少10年,男性减少17年。与此相反,虽然COGACT与记忆储备无关联(β=0.04,95% CI: -0.03-0.11),但性别分层分析显示,在女性中有正相关的趋势(β=0.06,95% CI: -0.02-0.14),而男性则不然。
COGACT与思维速度和记忆储备之间的关系
紧接着,研究人员将关注点转移到APOE 4携带状态上,发现APOE 4等位基因的存在调节了女性METS与思维速度储备之间的关系(β=0.08,95% CI: 0-0.15)。即与APOE 4携带者相比,非携带者女性在METS和思维速度储备之间具有更强的关联(β=0.06,95% CI: 0.02-0.11),而男性则不受APOE 4等位基因调节。同时,APOE 4等位基因也不影响METS与记忆储备之间的关系。
APOE e4携带状态对METS与速度和记忆储备的性别分层关系
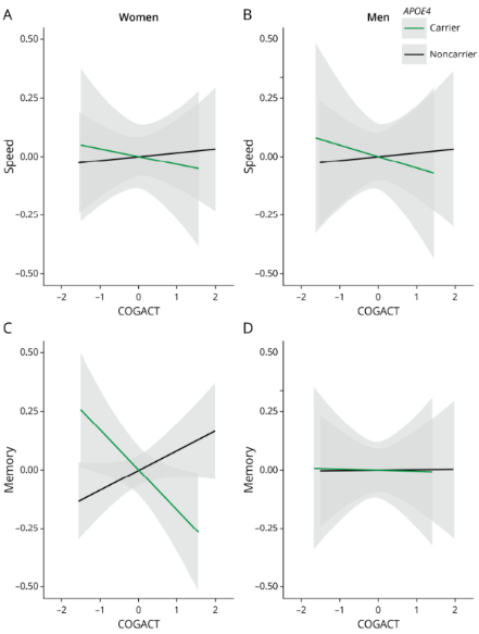
与METS类似,APOE 4等位基因也调节了女性COGACT与思维速度储备之间的关系(β=0.24,95% CI: 0.03-0.44),即女性携带APOE 4会减弱COGACT与思维速度储备的有益关系(β=-0.11,95% CI: -0.31-0.09)。男性中并没有观察到显著的APOE 4调节。此外,在COGACT与记忆储备的关联中,也发现了女性中APOE 4的调节,不携带APOE 4会使COGACT与记忆储备的正相关变得显著(β=0.15,95% CI: 0.05-0.25)。
APOE 4携带对COGACT与速度和记忆储备的性别分层关系
总的来说,该研究提出在生活方式因素对认知储备的有益关联中,性别和APOE 4携带状态是需要考虑的重要因素。
然而,本研究值得注意的一点是,活动分数来自参与者自我报告的问卷答案,而这可能因性别或认知障碍个体存在记忆偏差而导致结果不是那么准确。
未来的研究应利用客观活动水平(如加速度计)来测量体力活动,这将有助于确定该研究结果的有效性。此外,未来的研究需要检验生活方式活动与认知储备之间的因果关系,以及性别和APOE 4如何改变因果关系,这将有利于根据性别和APOE 4状态制定更精确的生活方式建议。
来自:
更多阅读:





