英国财政研究所(Institute for Fiscal Studies)发布了最新的“劳动力市场回归调查”。
每年有超过35万学生在英国开始接受高等教育,毕业生偿还贷款总额约170亿英镑。毕业生的收入和就业前景受到其大学预科的影响,如能力水平或社会背景,以及学位。IFS希望通过调查了解学位对收入和就业的影响。
调查结果:
不同专业的毕业生收入差异很大。医学、数学和经济学毕业生的收入比普通的毕业生高至少30%。而创意艺术类毕业生的收入比平均水平低25%。
排除获得学位的学生的特征差异,医学和经济学学位的回报率比平均水平高20%,而商业、计算机和建筑学学位毕业生比平均水平多10%。创意艺术类毕业生的收入比平均水平高10%,但回报率比平均低15%。
独立学院和最高分位的毕业生比SES背景最低的毕业生多收入7-9%。同时,A+级毕业生的收入更高(+3%)。
学位对不同类型的学生有不同的影响。医学、药理学和英语专业的女生回报率高于男生。相比之下,计算机科学对男生更有益。
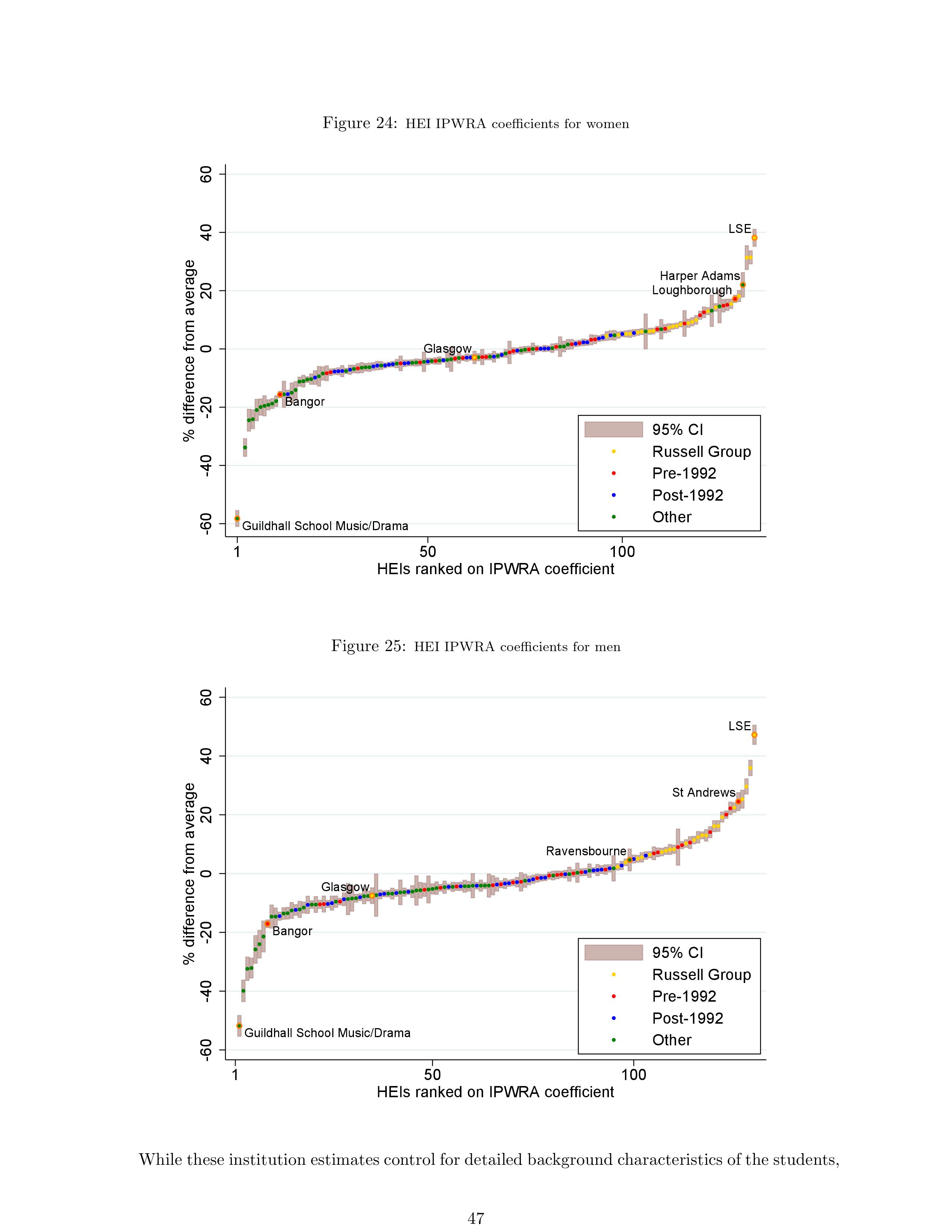
各机构的原始收入差异也很大。地位较高的大学,如Russell Group和1992年之间建立的大学能给毕业生带来更高的收入。当然,这些学校也能招收到能力最强的学生。
专业选择还会影响毕业生的就业概率。对女生来说,药理学、医学、数学、建筑学、护理学专业的就业概率比普通毕业生高2-3个百分点;对男生来说,学习社会护理和医学比普通毕业生就业概率高6-7个百分点。

PDF版本将分享到199IT交流群,支持我们发展可加入!

更多阅读:

