二次元视频社区哔哩哔哩bilibili(俗称B站)终于递交了招股书,我们终于得以从数据中一窥这个二次元公司的神秘面孔。
谈起B站更多人想到的是漫画,动画这类二次元的网站形象,尽管其实B站的内容已经远远超出动漫等二次元的范畴。但得益于社区的建设,B站的二次元社区氛围仍然非常浓烈。B站则将自己定位于年轻人的文化社区,使命是致力于丰富中国年轻用户的日常生活。
用户:7200万月活用户
2017年4季度,B站共拥有7200万月活用户,其中超过80%为90后用户。从数据上看,B站将自己定位为年轻用户的生活平台也就不足为奇了。
从内容上看,B站随处可见的动漫元素,积极表达自我的弹幕文化无疑很好阐释了二次元和年轻一代的特点。
内容:PUG占主流,内容全面
谈到B占更多人想到的是动漫等二次元相关的内容,但B站的内容种类其实非常丰富,包括了PUG视频;版权视频;直播;短视频, 图文博客;手机游戏。但PUG内容仍然最具影响力。
B站的PUG内容仍保持强劲增长势头。2017年B站月度平均有20.4万的活跃内容创造者,比去年增长了一倍。月均提交视频数量超过83.6万条,是去年的2.3倍,其中68.6%是原创的PUG内容。
4Q17,提交给平台的PUG内容继续上升,日均达到3.14万条,涵盖了动漫,游戏,音乐,时尚,生活和科技,以及纪录片等类型的内容,而去年同期只有1.43万条。PUG视频因其原创性和创意以及与生俱来的分享和互动特点而深受用户好评。2017年,PUG视频的播放量占B站全站视频的85.5%,比去年同期的74.5%有进一步的上升。截至2017年底,粉丝数量超过1万个的内容创造者的数量比去年翻了一倍。
社区:浓厚的社区文化
B站拥有较好的社区文化,这很大程度得益于B站对正式会员有较高的准入门槛所致。用户想要升级成为正式会员需要通过B站的答题测试,这些问题包括产品功能,社区规范和二次元领域的专业知识,从而避免了B站浓烈的二次元文化被稀释,也得益于筛选出更有创作力的用户群体。截止到2017年底,B站共拥有3160万通过答题测试的正式会员。
B站用户的社区互动行为较高,如发弹幕,评论和发消息,以及向内容创造者赠送虚拟礼物。2017年,平均每月有1520万用户有社交互动行为,产生的互动量则多达2.211亿次,而2016年这两个指标分别为840万和1.135亿。2017年4季度,官方正式会员中有75%参与社交互动。
同时B站也拥有一支由用户组织的内容和社区管理团队,有效推动了内容的审核和社区违规行为的治理。
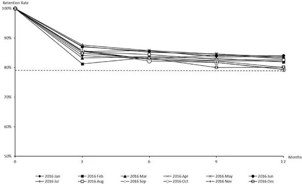
用户使用时长和留存:日均时长76分钟,12月留存率超过79%
2017年用户日均使用B站移动APP时长为76分钟,高于去年的72分钟,用户12月的留存率达到79%,毫无疑问是业内翘楚。
商业变现:游戏超过8成
2017年B站总营收达到24.68亿元,同比2016年增长372%。其中B站的营收大部分来自手机游戏,17年手机游戏的营收为20.58亿元,同比增长501%,占营收的比重从去年的65%上升至83%。
2017年B站共拥有8款独家合作的游戏,以及63款联合运营的游戏。2017年对营收贡献最大的游戏是Fate/Grand Order and Azur Lane。Fate/Grand Order于2016年9月份引入,在推出30天的时间内吸引了450万的玩家。需要注意的2017年,B站的游戏营收仍然依赖于2016年引入的游戏如Fate/Grand Order,2017年新引入的游戏站营收的比重只有19%。2017年B站手机游戏的月度玩家数量为910万,去年则为310万,同比增长了194%。
B站直播业务营收主要来自用户打赏的虚拟礼物收入,会员营收则主要来自会员订阅,付费内容以及视频平台的虚拟物品。2017年直播和会员的营收为1.76亿元,同比增长122%。
2017年广告营收为1.59亿元,同比增长122%,随着2017年12月引入效果信息流广告服务,预计收入将在2018年进一步提升。
2017年公司还有其他收入7462万元,主要来自电商平台及线下活动销售收入。
付费用户方面,4Q17B站付费用户共计达到107万人,其中手游付费用户为64.5万人,两者数据均有所下降,公司解释称是学生上学的季节性因素所致。
盈利情况:2017年尚未盈利,但亏损收窄
2017年B站仍未实现盈利,但相比2016年亏损已经大幅收窄。4Q17B站仍然亏损5132万元,尽管差于3季度的暑期旺季,但相比去年已大有好转。
B站的成本主要来自营收分成,内容成本,服务器和带宽等。随着手游业务,直播业务的快速增长,营收分成比例已经超过服务器和带宽费用,成为第一大成本费用来源。
费用方面,市场费用随着游戏项目的推广而变化,研发成本也随着公司发展的需求而不断增长,但长期来看,这些费用占营收的比重应该都有一定程度的下降。
围绕着服务中国年轻一代用户的使命,公司认为自己拥有如下优势:在年轻一代用户中拥有品牌优势;仍在快速增长的用户基数;拥有较高归属感的高粘性用户群体;有创造性内容的不断增长;商业内容及变现生态;有远见和经验丰富的管理层。
上市后,公司将继续执行如下战略:丰富内容供给;提升平台的用户体验;加强技术设施;提升货币化能力。
更多阅读:













