在衰老的过程中,突变的体细胞也会克隆扩增,据推测,50岁时的骨髓单个原始造血细胞平均积累5个编码基因突变。因此,非血液系统恶性肿瘤患者外周血中也可以检测到相关突变。70岁以上人群中,约10-30%外周血携带单克隆细胞,而血细胞总数及各类细胞比例并无明显变化,这种与年龄相关的不符合骨髓增生异常综合征诊断且外周血基因突变细胞比例至少为2%的状态被称为潜能未定的克隆性造血(CHIP)[1]。
小胶质细胞是中枢神经系统的固有骨髓细胞,它的功能改变是阿尔茨海默病(AD)的主要驱动因素之一[2],而CHIP相关突变会影响骨髓细胞的功能[3,4],因此,CHIP与AD之间或许也存在一些关联。
在今天的《自然·医学》杂志上,斯坦福大学医学院的研究团队发表最新研究成果[5],他们发现,CHIP与AD痴呆风险下降36%有关,孟德尔随机化分析支持了其中的因果关联。CHIP携带者外周血中检测到的突变同样也存在于大量小胶质细胞中。
为了确定CHIP与AD痴呆之间的关联,研究人员首先分析了弗雷明汉心脏研究(FHS)和心血管健康研究(CHS)两项研究的数据,排除冠心病、卒中和既往痴呆症患者后,FHS共纳入2437例参与者,其中92例发生AD痴呆,CHS纳入743例参与者,166例发生AD痴呆。
由于CHS的参与者平均年龄更大、女性比例更高,因此AD痴呆发生率明显高于FHS。研究人员本来猜测,CHIP与AD风险增加有关,但结果与他们的猜测完全相反,CHS和FHS中,CHIP分别与AD痴呆风险下降31%和49%有关,但统计学意义不显著(p值分别为0.13和0.068),但两个队列的固定效应meta分析显示,CHIP与AD风险显著下降37%有关(p=0.024)。
年龄、性别和APOE基因型与AD痴呆的相关性与此前的研究相一致。
为了验证这一结果,研究人员又在一项病例对照研究——阿尔茨海默病测序计划(ADSP)中再次分析了CHIP和AD痴呆的相关性,结果仍然续写了在CHS和FHS中发现的关联。通过对ADSP、CHS和FHS三项研究的meta分析,总的来看,CHIP与AD痴呆风险显著下降36%有关(p=3.8×10-5)。
ADSP(a)和ADSP、CHS及FHS的meta分析的结果
使用24种CHIP相关多态性的单样本和两样本孟德尔随机化分析,研究人员确定,较高的CHIP遗传风险与AD风险下降有关,为了排除反向因果关系,他们还使用了36种AD风险多态性的两样本孟德尔随机化分析,以CHIP为“果”,结果并未显示出相关性。
由AD注册登记联盟(CERAD)开发的神经炎症斑块密度评分,及评估神经纤维缠结分布的Braak分期通常用于评估尸检大脑样本中的病理变化,评分/分期越高,病理特征积累越广泛。
ADSP中,有部分参与者去世后接受了大脑尸检,借助这部分样本,研究人员发现,校正了死亡年龄、性别和APOE基因型后,CHIP的存在仍与较低的CERAD评分和和较早的Braak分期有关。
此前,CHIP相关疾病主要集中在血液系统恶性肿瘤和心血管疾病中,但既然它与AD风险也有关联,那么大脑中可能也存在携带CHIP相关突变的细胞,如果能够确定这一点,就能进一步支持CHIP和AD风险之间的因果关联。
在ADSP的1776例参与者的大脑尸检样本中,研究人员发现了17个样本携带CHIP相关突变,但缺少匹配的对照组。因此,研究人员又找来了ACT队列,其中8例参与者有血液外显子组测序结果显示携带CHIP相关突变,并且有4例无CHIP的匹配对照组。8例CHIP携带者携带DNMT3A、TET2、ASXL1、SF3B1和GNB1的突变,其中突变频率最高的为DNMT3A和TET2。
ACT队列8例参与者的CHIP突变携带情况
研究人员以神经元特异性转录因子NeuN和单核吞噬细胞(单核细胞、巨噬细胞、树突状细胞和小胶质细胞等)中高表达的转录因子c-MAF为标志物,进行了细胞核染色,根据是否存在这两种标志物将细胞分为4组。
8例参与者中有7例的大脑NeuN–c-MAF+细胞携带CHIP突变,反之,NeuN+c-MAF–细胞中没有发现CHIP突变,其他两组要么没有要么水平很低。这表明,CHIP突变主要集中在单核吞噬细胞中。
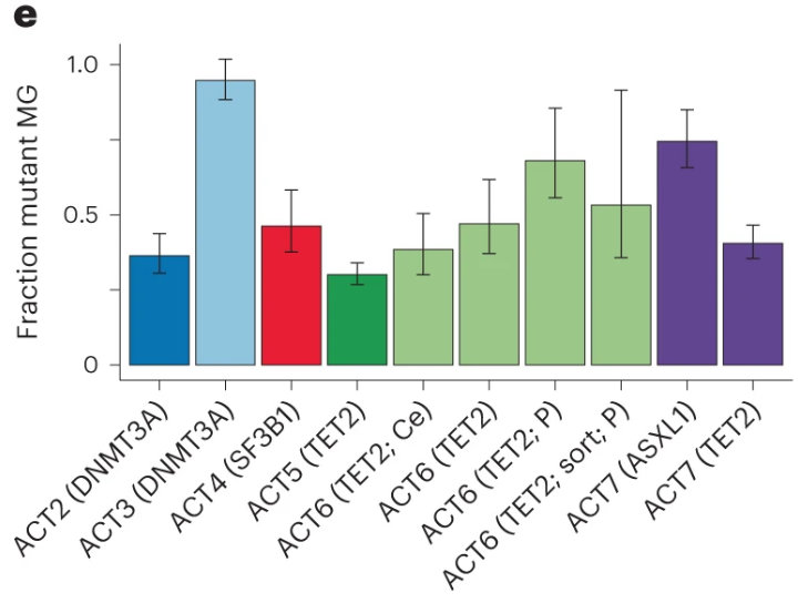
研究人员对6例CHIP携带者和4例非携带者大脑样本进行了单核染色质可及性分析,经过比较与排除,估算了每个样本中携带CHIP突变的小胶质细胞占总小胶质细胞的比例,总的来说,6例样本中,CHIP突变携带小胶质细胞占比为30%-95%不等。
突变携带小胶质细胞占比
对6号参与者的单独分析显示,壳核、小脑和枕叶皮层中TET2突变携带小胶质细胞占比分别为68%、38%和47%,这表明,参与者大脑中多个区域都存在CHIP突变携带小胶质细胞。6例参与者的外周血和枕叶皮层小胶质细胞中突变细胞的比例之间存在非常强的相关性,这可能有助于确定较高水平的外周血突变克隆与AD痴呆风险下降的关联。
基于这些发现,总的来看,CHIP有助于降低AD风险,尤其是CHIP与神经炎症斑块和神经纤维缠结水平较低有关,这意味着CHIP可能对AD相关病理生理学存在调节作用,未来,对其中机制的研究将帮助我们更好地认识CHIP的真正作用。
参考文献:
[1] 童洲杰, 兰洪涛, 谈艳敏, 等. 不确定潜能的克隆性造血与心血管疾病[J]. 中华心血管病杂志, 2022, 50(1): 85-90.
[2] Nott A, Holtman I R, Coufal N G, et al. Brain cell type–specific enhancer–promoter interactome maps and disease-risk association[J]. Science, 2019, 366(6469): 1134-1139.
[3] Jaiswal S, Natarajan P, Silver A J, et al. Clonal hematopoiesis and risk of atherosclerotic cardiovascular disease[J]. New England Journal of Medicine, 2017, 377(2): 111-121.
[4] Fuster J J, MacLauchlan S, Zuriaga M A, et al. Clonal hematopoiesis associated with TET2 deficiency accelerates atherosclerosis development in mice[J]. Science, 2017, 355(6327): 842-847.
[5] Bouzid, H., Belk, J.A., Jan, M. et al. Clonal hematopoiesis is associated with protection from Alzheimer’s disease. Nat Med (2023). https://doi.org/10.1038/s41591-023-02397-2
来自: 奇点神思
更多阅读:




