提及夏日,你最先想到的是什么?炎炎烈日,阵阵蝉鸣,或是冰镇汽水?
随着夏天的接近,便利店中的冰柜越来越受到欢迎,各式各样、五颜六色的饮料成为人们的“夏日续命神水”。即使平时不爱喝饮料的小编,在被热到“直吐舌头”的时候,也忍不住整一杯冰甜饮料,是真“救命”啊!
但事实上,你喝下去的每一口含糖饮料看似在“续命”,实则在“害命”!
含糖饮料(Sugar-sweetened beverages, SSBs)是指添加了任何形式糖(如红糖、玉米糖、玉米糖浆、果糖、葡萄糖等)的饮料,也是膳食添加糖的主要来源。常见的SSB包括:各种含糖汽水、果汁、能量饮料、奶茶以及含糖咖啡等等(可不都是大家爱喝的)。
此前,中国疾控中心的研究团队曾分析了1990-2019年这30年期间中国高糖饮料摄入量造成的死亡和疾病负担,得到的结果令人“咋舌”——
2019年我国因摄入高糖饮料而死亡的人数高达4.66万人,比30年前增加了95%;此外,高糖饮料还导致全国疾病负担显著升高,2019年的残疾调整生命年(DALY)比1990年提高了57%!
1990-2019年因含糖饮料而死亡的数据变化
可见,含糖饮料致使我国疾病负担显著增加,死亡人数翻了近一番,真可谓是“甜蜜的杀手”!事实上,除了导致全因死亡风险升高外,更“要命”的是含糖饮料会增加多种疾病风险。
含糖饮料>2杯/天
罹患痴呆症的风险增加34%
出门奶茶不离手,宅家全靠快乐水。炎热的夏天想搞杯冰镇饮料让自己清醒一下?但结果往往适得其反,反而会伤脑!
近日,来自浙江大学医学院附属第二医院的研究团队在调查了超17万人后发现,较高的SSBs和人工加糖饮料(ASBs)摄入量,与更高的痴呆症风险有关;但天然果汁(NJs)不会,适量饮用反而会降低患痴呆的风险23%!该研究发表在The American Journal of Clinical Nutrition上。
https://doi.org/10.1016/j.ajcnut.2023.01.015
研究者从英国生物银行(UK Biobank)中收集到177,926名健康参与者,在入组时均未患有痴呆症。但在平均9.5年随访的前2年,有1293名参与者发展为痴呆症患者(69.1例/10万人年)。
在随访期间,研究者采用24小时饮食回顾法记录下参与者3年内的SSBs、ASBs和NJs的饮用量,并评估其与痴呆症风险以及大脑结构之间的关系。
结果显示,与从不饮用的相比,每日饮用>2杯的SSBs与罹患痴呆症的风险增加34%有关;与之类似,每日饮用>2杯的ASBs与罹患痴呆症的风险增加20%有关。
果汁摄入量与患病风险之间的关联
相反,适量饮用天然果汁竟有降低患痴呆症风险的效果!具体来说,与不饮用的相比,每日饮用的NJs>0–1杯时,参与者罹患痴呆症风险降低23%;同时,在饮用果汁的情况下,大脑结构还出现了变化——大脑中灰质体积增加,白质高强度的体积减少。
进一步分析发现,天然果汁摄入量与痴呆风险之间呈J型关联,每天1杯时风险最低。
看来,如果真想喝快乐水,不如尝试替换成天然果汁。当然,也不能因其“天然”就大喝特喝,过量依然存在健康风险!
含糖饮料>1瓶/天
脱发风险增加2.36倍
什么?你觉得痴呆离你很远,还敢喝接着喝含糖饮料?那如果告诉你,含糖饮料喝多了会致脱发呢?
近日,来自清华大学研究团队在针对超1,000名中国男性的调查中发现:年轻男性的SSB摄入量与雄性脱发(MPHL)之间有着直接联系——
与不饮用含糖饮料的相比,每天饮用含糖饮料超过1瓶(每周>3500mL)的参与者发生脱发的风险比前者显著增加2.36倍。你喝的哪里是“快乐水”?那分明是“脱发剂”!
https://doi.org/10.3390/nu15010214
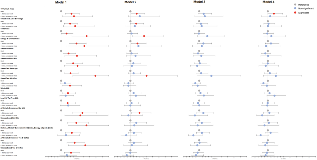
为了探究SSB摄入量与MPHL之间的关系,研究者从中国31个省收集到1951名年龄在18-45岁的男性,评估了他们的“头秃”状况以及饮食摄入、生活方式和心理情况等。为统一计算,SSB摄入量被换算为4个等级:大量(>3500mL/周)、适量(1500~3500mL/周)、少量(1~1500mL/周)和永不(0mL/周)。
最终纳入研究的1028名男性中,有426名(42.4%)为正常对照组,另有592名(57.6%)患有MPHL。
当然,结果并不令人意外,MPHL组饮用SSB的频率和总量明显更高—— MPHL组的SSB摄入量为平均4293mL/周,远高于正常对照组(2513mL/周)。同时,在MPHL组中饮用SSB>3500mL/周(相当于每天>1瓶)的参与者占29.4%,而该比例在对照组中仅为17.2%。
MPHL组与对照组的SSB饮用情况
反过来说,摄入的SSB越多或频率越高,“头秃”的风险自然越高。
在粗模型中,与从未饮用的相比,每周饮用SSB超过7次的参与者更有可能患MPHL,后者的患病率是前者的3.36倍;同样,每周饮用量超过3500mL的参与者出现“脱发”的风险比从不喝的显著增加2.53倍!即使在调整后的模型中(包括基础信息、饮食习惯),差异依然显著。
真可谓,喝含糖饮料一时爽,掉发脱发火葬场!
在不同的模型中,SSB摄入量与MPHL患病率之间的关系
更有意思的是,研究者还进一步探讨了“哪种含糖饮料是‘罪魁祸首’”。
在最基础的模型中,几乎所有类型的SSB均能作为MPHL的风险因素;而在调整了混杂因素后,大多数SSB依然会增加罹患MPHL的风险,尤其要注意含糖果汁、软饮料(可乐、雪碧、芬达等)、能量/运动饮料、加糖的茶饮料等。
不过,值得警惕的是,即使是纯果汁或加了人造甜味剂的坚果奶,依然会增加“头秃”的风险。也就是说,虽然适量饮用天然果汁能降低痴呆症的患病率,但变秃仍是不可避免的(就挺“秃”然的),用花点头发来换点脑子,好像也不亏?
不同类型SSB对MPHL风险的影响
作为当代年轻人普遍在意的容貌焦虑之一,“喝含糖饮料恐会头秃”总能威慑到你了吧?!别人掉一把,你掉三把头发,这谁扛得住?为了打赢这场“防脱”攻坚战,关键是得戒掉各类含糖的“头发消失水”!
含糖饮料<355ml/周
否则恐致45种疾病风险增加
当然,含糖饮料不仅仅影响“头脑”,而是攻击全身!
4月5日,来自四川大学华西医院的研究团队在BMJ上最新发表的综述研究显示,高糖饮料摄入与45种疾病风险增加相关!包括肥胖、痛风、糖尿病等内分泌及代谢疾病,冠心病、中风、高血压等心血管疾病,肝癌、胰腺癌、乳腺癌等多种癌症等等。
doi: https://doi.org/10.1136/bmj-2022-071609
最终纳入研究的67项观察性研究和6项随机对照试验中,研究者发现高含糖饮料摄入与多种健康结果之间存在显著的剂量-反应关系。
内分泌疾病:
1、体重增加:每日一份含糖饮料,与一年内体重增加0.22公斤有关。
2、尿酸升高:与几乎不饮用的相比,高含糖饮料摄入与痛风风险增加35%以及高尿酸血症风险增加35%有关。
3、代谢综合征:每天多喝355ml的加糖饮料,罹患代谢综合征的风险升高了14%。
心血管疾病:
1、冠心病:每天多喝250ml的含糖饮料,冠心病风险增加17%。
2、中风:含糖饮料每增加250ml,中风风险升高7%。
3、高血压:含糖饮料的每日饮用量升高355ml,高血压风险将随之升高11%。
多种癌症:
1、整体:每天每多喝一份含糖饮料,癌症风险随之升高4%。
2、肝癌:与几乎不喝的相比,高含糖饮料摄入与肝癌风险增加一倍有关。
3、乳腺癌:与最低摄入组相比,最高的含糖饮料摄入量会使得罹患乳腺癌的风险增加14%,乳腺癌死亡风险增加17%。
4、前列腺癌:与之类似,与最低组相比,含糖饮料摄入量达到最高的情况下,患前列腺风险将升高17%。
含糖饮料摄入量与各种疾病风险之间的关联
因此,研究者建议每周的含糖饮料摄入量应控制在一份以下(即200-355ml)!毕竟当你喝含糖饮料的时候,爽得只有你的口腔感官罢了,身体的其他部位都在无声地抗议。
不过,小编倒是想了个办法,如果真的无法完全戒掉含糖饮料,要不一周选一天放纵一下,或者每天仅酌一小口,自己选吧
参考文献
[1]Chen H, Chen J, Cao Y, Sun Y, Huang L, Ji JS, Voortman T, Vernooij MW, Shen J, Zheng Y, Zong G, Yuan C. Sugary beverages and genetic risk in relation to brain structure and incident dementia: a prospective cohort study. Am J Clin Nutr. 2023 Apr;117(4):672-680. doi: 10.1016/j.ajcnut.2023.01.015. Epub 2023 Jan 27. PMID: 36781080.
[2]Shi X, Tuan H, Na X, Yang H, Yang Y, Zhang Y, Xi M, Tan Y, Yang C, Zhang J, Zhao A. The Association between Sugar-Sweetened Beverages and Male Pattern Hair Loss in Young Men. Nutrients. 2023 Jan 1;15(1):214. doi: 10.3390/nu15010214. PMID: 36615870; PMCID: PMC9824121.
[3]Huang Y, Chen Z, Chen B, Li J, Yuan X, Li J, Wang W, Dai T, Chen H, Wang Y, Wang R, Wang P, Guo J, Dong Q, Liu C, Wei Q, Cao D, Liu L. Dietary sugar consumption and health: umbrella review. BMJ. 2023 Apr 5;381:e071609. doi: 10.1136/bmj-2022-071609. PMID: 37019448; PMCID: PMC10074550.
来自: 生物谷
更多阅读:









