妊娠高血压疾病(HDP)是产科常见疾病,孕产妇发病率超过10%[1]。根据发病基础和脏器损害程度,HDP可分为妊娠期高血压(GH)、子痫前期/子痫(PE/E)、妊娠合并慢性高血压(CH)以及慢性高血压并发PE/E。
HDP一直被认为与心脑血管疾病风险相关[2],而心脑血管疾病又与痴呆关系密切。然而,直接评估HDP和痴呆关系的研究很少,且现有的关于此方面的几个研究结果并不一致[3, 4]。此外,目前鲜有对不同亚型HDP与认知功能关系进行比较的研究。
近日,来自维克森林大学医学院的Michelle M. Mielke团队在《神经病学》杂志发表重要研究[5],该团队通过对2239名女性(中位年龄为73岁)进行了为期5年的纵向研究发现,妊娠期间患HDP的女性在晚年出现认知功能下降的风险高于未患HDP的女性。
同时,进一步对不同类型HDP人群的分析表明,妊娠期间患PE/E的女性参与者在今后认知能力下降风险高于其他类型HDP患者。
这些结果表明,在怀孕期间对血压的监测和管理是影响女性今后认知功能的重要因素,尤其是避免PE/E的发生。
论文首页
本研究所纳入的人群来自于妙佑医疗国际衰老研究队列(MCSA[6]),共纳入了2239名资料完整、可供分析的女性参与者,其中位年龄为73岁。参与者每15个月接受一次随访,随访期间将接受健康情况调查与认知功能测试,其中认知功能测试包含4个方面:记忆、注意力/执行能力、语言和视觉空间感知。
通过对参与者医疗记录的回顾分析,在这2239名女性中,有1854人(83%)至少怀孕过一次(总怀孕次数6260),而另外385人(17%)从未怀孕或怀孕时间少于20周。
在怀孕超过20周的人中,有6人诊断为CH(在妊娠<20周内出现高血压),93人诊断为GH(在妊娠≥20周后首次出现高血压),1人诊断为CH和GH,142人诊断为PE(高血压伴有尿蛋白≥0.3g/d),3人诊断为E(PE基础上发生不能用其他原因解释的癫痫发作),2人诊断为慢性高血压并发PE,其余1607人妊娠期间血压正常。
由于一些HDP亚组人数较少,研究人员将2239名女性参与者分为4组:正常血压组(n=1607)、GH/CH组(n=100)、PE/E组(n=147)以及未生育组(n=385)。
在基线时,与其他3组相比,未生育组女性受教育年限更长,BMI更低,且许多合并症的发生率更低;有GH/CH或PE/E病史的参与者糖尿病、高血压或心肌梗死的发生率更高。
各组参与者基线资料
基线时,无论是未经校正的分析,还是根据年龄和教育程度校正后,患HDP的参与者的认知功能与正常血压组相比均无明显差异,HDP各类型之间同样无明显差异。
未生育组相比于正常血压组在基线语言功能方面的得分更差(p=0.02,未经校正);在根据年龄和教育程度校正后,未生育组参与者相比于正常血压组在整体认知功能(p<0.001)及所有特定领域认知功能上均表现更差(记忆:p=0.004;语言:p<0.001;注意力/执行能力:p=0.02;视觉空间感知:p=0.005)。
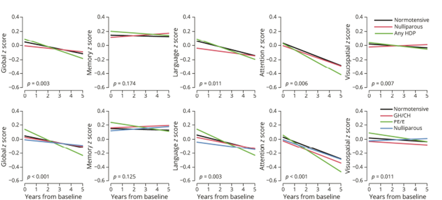
经过约5年的随访,与正常血压组的女性相比,患HDP的参与者在整体认知功能(p=0.02)和注意力/执行能力(p=0.005)的得分下降更快(根据年龄和教育程度校正后)。
HDP亚组分析显示,与正常血压组的女性相比,GH/CH组参与者在整体或特定领域认知功能下降程度没有明显差异。相比之下,PE/E组的女性在整体认知功能(p<0.001)、语言(p=0.01)和注意力/执行能力(p<0.001)方面下降程度更大,而在记忆与视觉空间感知上的下降程度两组相似。
对GH/CH组和PE/E组认知能力下降的趋势比较同样表明,PE/E组在整体认知功能(p=0.01)和注意力/执行能力(p=0.02)的下降幅度明显大于GH/CH组。
根据年龄和教育程度校正后认知功能与妊娠期血压状态之间的纵向关系
在对APOE、BMI、吸烟等心血管危险因素和状况进行额外调整后,得到的结果并未改变。这表明HDP病史对于远期认知功能的影响独立于心血管危险因素和状况。同时,将在基线时认知功能就有损伤的参与者剔除后再进行分析也并未改变结果。
教育程度对HDP病史与基线认知功能的影响
总体而言,研究人员通过对大样本量妊娠期间HDP人群和血压正常人群的认知功能进行横断面和纵向分析,发现了虽然有HDP病史的女性与妊娠期血压正常女性在基线时认知功能没有差异,但在远期,有HDP病史的女性认知功能下降速度更快。
其次,对于未发生PE/E的有HDP病史女性,其认知功能下降程度与妊娠期血压正常女性相似。由此,对于妊娠期女性血压的监测与管理就显得尤为重要,只要使HDP患者避免走到PE/E这一步,那么就可以将其对于远期认知功能的影响控制在最小范围。
当然,本研究也有一定的局限性。首先,本研究所纳入的参与者大多数都是白人,因此研究结果可能无法推广到其他人群,比如HDP发病率更高的非裔美国人。其次,本研究无法对不孕、流产以及多胞胎对认知功能的影响。
参考文献
1. Antza C, Stabouli S, Kotsis V: Practical guide for the management of hypertensive disorders during pregnancy. J Hypertens 2022, 40(7):1257-1264.
2. O’Kelly AC, Michos ED, Shufelt CL, Vermunt JV, Minissian MB, Quesada O, Smith GN, Rich-Edwards JW, Garovic VD, El Khoudary SR et al: Pregnancy and Reproductive Risk Factors for Cardiovascular Disease in Women. Circ Res 2022, 130(4):652-672.
3. Basit S, Wohlfahrt J, Boyd HA: Pre-eclampsia and risk of dementia later in life: nationwide cohort study. BMJ 2018, 363:k4109.
4. Nelander M, Cnattingius S, Akerud H, Wikstrom J, Pedersen NL, Wikstrom AK: Pregnancy hypertensive disease and risk of dementia and cardiovascular disease in women aged 65 years or older: a cohort study. BMJ Open 2016, 6(1):e009880.
5. Mielke MM, Frank RD, Christenson LR, Fields JA, Rocca WA, Garovic VD: Association of Hypertensive Disorders of Pregnancy With Cognition in Later Life. Neurology 2023.
6. Roberts RO, Geda YE, Knopman DS, Cha RH, Pankratz VS, Boeve BF, Ivnik RJ, Tangalos EG, Petersen RC, Rocca WA: The Mayo Clinic Study of Aging: design and sampling, participation, baseline measures and sample characteristics. Neuroepidemiology 2008, 30(1):58-69.
来自: 奇点神思
更多阅读:




