正如《我脑海中的橡皮擦》这部悲剧爱情片的标题,阿尔茨海默症就好比患者脑海中的橡皮擦,将记忆一点点擦除。这种疾病俗称痴呆症,它不仅会夺走患者的健康,还会慢慢夺走患者脑海中珍贵的记忆。
阿尔茨海默症的主要症状是记忆丧失,在早期时体现为健忘,随后在进展过程中出现难以集中注意力等症状,甚至产生抑郁症。晚期时会造成患者生活无法自理,患者甚至会由于脑功能严重丧失引起的并发症(如脱水、营养不良或感染)而死亡。更可怕的是,目前没有药物可以治愈阿尔茨海默症,一旦患上,药物只能起到暂时缓解症状或减缓症状进展的作用。
阿尔茨海默症如此残酷,我们能做的就是提前预防这种疾病。然而,阿尔茨海默症的成因非常复杂,有诸多的因素会对其产生影响。脑神经疾病会导致记忆力减退,而降血压可以有效减少中风的发病风险(中风就属于一种脑神经疾病),那么血压与阿尔茨海默症是否有关系呢?降血压可以预防阿尔茨海默症吗?
近日,来自澳大利亚新南威尔士大学及多个研究机构和高校的科学家在《欧洲心脏杂志》上发表了题为Blood pressure lowering and prevention of dementia: an individual patient data meta-analysis的研究论文。研究人员对随机双盲安慰剂对照临床试验进行了第一单阶段患者数据荟萃分析,发现了中晚年和晚年抗高血压治疗对降低痴呆风险有益处。该研究分析了20个国家的数据,这是一项迄今为止最有说服力的证据。


图注:研究总览图(数据来自5项临床试验,最终的数据结果支持降压治疗)。
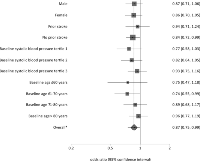
多水平logistic回归显示,降压治疗对痴呆的影响未经调整的优势比(OR)为0.868(95%CI:0.756,0.996),支持降压治疗降低痴呆风险这一结论。经年龄、性别、中风史、BMI和糖尿病的校正后,OR均略有下降(如下图)。另外,经教育水平的校正后,OR下降最为明显,降至0.857(95%CI:0.743,0.988)。可推测教育水平较高的人患痴呆的风险略低。


图注:相对对数优势比显示抗高血压治疗对痴呆风险的影响随基线收缩压b和年龄a的变化而变化(左)。一年时血压升高导致痴呆的风险(右)。
总体而言,没有证据表明老年人接受治疗后痴呆风险增加。这项研究的结果支持了中晚年和晚年抗高血压治疗对降低痴呆风险的益处。尽管总体的降压治疗效果很明显,12个月时平均血压下降9.6/3.7 mmHg,但其对痴呆发病率的预期影响程度在人群和个体水平上是一致的。
研究人员表示,目前这项研究提供了最高级别的证据,表明经过几年的降压治疗可以降低痴呆的风险。考虑到人口老龄化以及痴呆症引起的巨大经济和社会成本,即使是对痴呆症风险的微小减少,从全球范围来看,都会产生巨大的影响。所以,积极治疗高血压,不仅对于心血管疾病本身有意义,对于预防痴呆症也意义深远。而且除了降压药以外,有氧运动、健康饮食、控制体重等等在一定程度上都可以有效降压。
大家身边一定也有老年人吧,那就把这个消息告诉他(她)吧,希望我们爱的人和爱我们的人不用经历丧失记忆之痛!
参考来源:
Peters R, Xu Y, Fitzgerald O, et al. Blood pressure lowering and prevention of dementia: an individual patient data meta-analysis [published online ahead of print, 2022 Oct 25]. Eur Heart J. 2022;ehac584. doi:10.1093/eurheartj/ehac584.
来自: 生物谷
更多阅读:
