牛津大学一项研究曾发现,屁股大的人,血脂更好。因为臀部脂肪属于“好脂肪”,可降低坏胆固醇水平,提高好胆固醇水平,有助于延缓血管硬化,降低糖尿病风险。
而近日,一项刊登在国际杂志Journal of the American Heart Association(美国心脏协会杂志)上题为“Combined Influence of Waist and Hip Circumference on Risk of Death in a Large Cohort of European and Australian Adults”的研究报告中,来自澳洲迪肯大学等机构的科学家们通过研究发现,与其他身材的人群相比,“细腰肥臀者”似乎死亡风险更低。
10个国家9万多名参与者表明:细腰肥臀者,死亡风险低
研究人员在10个国家的30个队列中开展了一项MORGAM(MONICA风险、遗传、档案和专著)研究计划,他们于1986年至2010年间招募了90487名年龄在30-74岁的男性和女性进行研究,参与者均未无心血管疾病史。
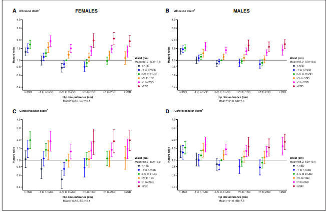
对心血管疾病危险因素调整后,通过肥胖测量,按性别和死亡原因分类的死亡风险
随后研究人员对这些参与者开展了长达24年的跟踪调查,他们使用特异性Cox模型来估测危险比,并按照队列分层,以年龄为时间尺度;模型包括基线分类的肥胖测量、年龄、总胆固醇和高密度脂蛋白胆固醇、收缩压、抗高血压药物、吸烟和糖尿病等。
在10年的中位随访期间,研究者共记录到了9105例全因死亡病例,而全因死亡的危险比与大多数肥胖测量指标之间会出现J型或U型关系,而将腰围与臀围纳入到同一模型后,对于所有的臀围尺寸而言,除了臀围最小的男性而言,腰围较小与死亡风险降低强烈相关,此外,在腰围较小的人群中,臀围的大小与个体死亡风险之间存在着负相关的关系。
在调整了心血管危险因素后,不同腰围臀围的死亡风险(按性别和死亡原因分类)
当研究人员使用两种测量方法来同时进行分析考虑时,臀围、腰围和人群死亡风险之间的关系或许就变得更为复杂了,对于那些腰围较小的人群而言尤其如此,臀围尺寸较大时往往会给其带来保护作用,而在临床环境中同时考虑腰围和臀围或许有助于帮助识别那些死亡风险较高的人群。
这些指标影响寿命
其实,不仅仅是臀围腰围决定了健康,身体质量指数(BMI=体重(公斤)除以身高(米)的平方)、腰围、腰高比、体脂率、大腿围、颈围和小腿围共八项指标都对身体健康有着重要作用。
• 腰围
中国男性正常腰围应小于90厘米、女性小于85厘米,超过该范围,就属于腹型肥胖,与多种代谢性疾病发病风险相关。
• 腰高比
即腰围除以身高,0.5以下属于正常。腰高比过高,就代表肝、心、肾等内脏脂肪多,高血压、冠心病、心肌梗死、脑卒中等风险更高。它被认为是评估心脏代谢风险的最佳指标。
• 体脂率
即身体中脂肪占总体重的百分比。脂肪过多或过少都影响健康。
• 颈围
等于上身皮下脂肪组织的近似值。健康成人的颈围,男性应小于38厘米,女性小于35厘米。
• 大腿围
正常范围是46~60厘米。大腿围与臀围类似,正常范围内,大腿围越大,腿部肌肉越强壮。
• 小腿围
指示骨骼肌质量,通常将小腿围用作肌少症或老年性肌肉萎缩的指标。一般男性小腿围要大于34厘米,女性大于33厘米。
最后,健康长寿是人类的共同追求,长寿身材也是良好生活习惯的积累,“管住嘴、迈开腿”才是最简单有效的途径。
来自:
更多阅读:



