每日8000步,又有了新走法!
近日,由日本京都大学医学研究科助理教授井上浩辅(INOUE Kosuke)领衔的研究团队,在著名期刊JAMA Network Open上发表了最新研究成果[1]。
他们基于长达10年的随访数据,发现与每周没有一天的步数达到8000及以上的人相比,每周1-2天步数达到8000及以上的人全因死亡风险下降14.9%,每周3-7天步数达到8000及以上的人全因死亡风险下降16.5%。
据了解,这个研究首次证实,每周只1-2天步数达到8000及以上,就足以降低全因和心血管死亡风险。
对于忙于工作而没有充足时间锻炼的现代人而言,井上浩辅团队这项研究成果无疑是个好消息。
论文首页截图
我们都知道生命在于运动。
遗憾的是,忙碌的现代人往往没有时间锻炼。
在2022年,世界卫生组织(WHO)发布的一项报告显示,作为全球主要公共卫生问题之一,运动不足是导致死亡的第四大因素,每年约320万人的死亡与其有关[2]。
近年来,越来越多的科学家在探索简单有效的运动方式,以帮助现代人降低死亡风险。例如,有研究发现,将WHO建议的“每周完成至少150-300分钟的中等强度有氧运动或至少75-150分钟的高强度有氧运动”放在周末完成,也能达到很好的获益效果[3]。
这种运动方案虽然证明了“平时不运动,周末补有用”,但是运动量和运动时间还是不那么容易实现。
走路,可以说一种最简单的运动方式了。已经有大量的研究表明,日行万步可降低癌症、心血管疾病死亡风险,还能防痴呆[4]。也有研究发现,每天步行7000-8000步就可以降低死亡风险[5,6]。去年的一项大型荟萃分析发现,每日步数增加与死亡风险下降有关,到8000步时死亡风险趋于平稳[7]。
如此看来,8000步似乎是个临界点。不过,8000步虽然折合5公里左右,但是每天走或跑5公里,还是个很巨大的运动负担。井上浩辅团队想知道的是,如果偷偷懒的话,每周至少有多少天达到8000步才对健康有益。这个问题目前还没人研究过。
为了解决这个问题,井上浩辅团队使用了2005-2006年美国全国健康营养检查调查(NHANES)数据。被纳入本研究的参与者一共3101名,他们年龄在20岁及以上,平均年龄50.5岁,其中51.0%是女性。
在研究期间,参与者佩戴了1周的加速器,用于监测运动状态。所有参与者按每周走8000步及以上的天数分为三组:0天组、1-2天组和3-7天组。研究主要终点是10年随访期间全因和心血管死亡的调整后绝对风险差异(aRD)。
在所有参与者中,632人(20.4%)每周0天走8000步或以上,532人(17.2%)每周1-2天走8000步或以上,1937人(62.5%)每周3-7天走8000步或以上。
在10年的随访中,有439人(14.2%)死亡,其中148人(5.3%)死于心血管疾病。在调整了潜在的混杂因素后,与每周0天走8000步或以上的参与者相比,每周1-2天走8000步或以上的参与者全因死亡风险下降14.9%,每周3-7天走8000步或以上的参与者全因死亡风险下降16.5%。
类似地,与每周0天走8000步或以上的参与者相比,每周1-2天走8000步或以上的参与者心血管死亡风险要低8.1%,每周3-7天走8000步或以上的参与者心血管死亡风险要低8.4%。
步数与全因和心血管死亡风险的关系
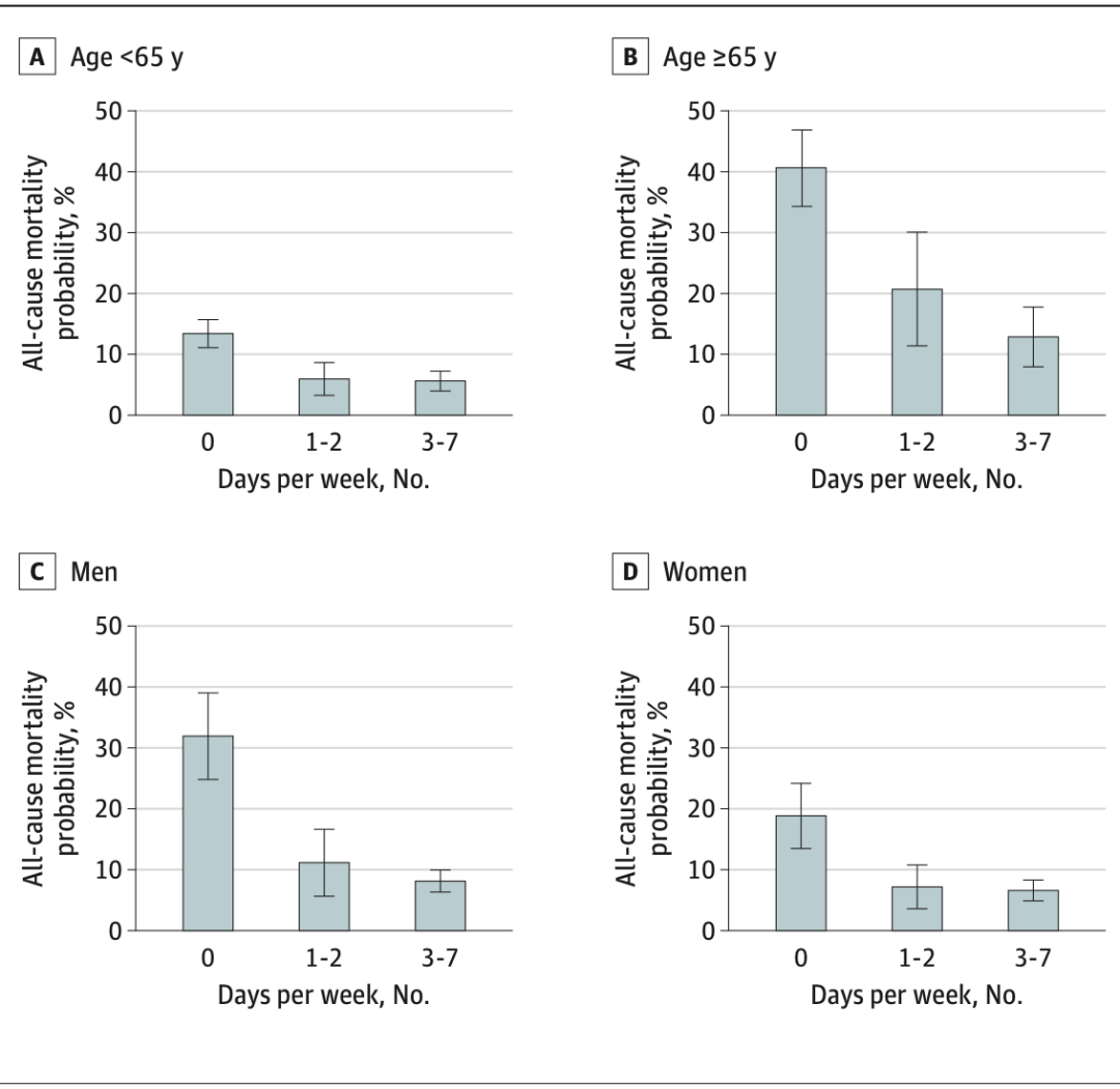
井上浩辅团队还研究了走8000步的天数与不同年龄或性别人群获益情况之间的关系。
从年龄分层来看,与每周0天走8000步或以上的参与者相比,每周1-2天走8000步或以上的年轻和年长参与者全因死亡风险都较低(年龄<65岁:aRD,-7.4%;年龄≥65岁:aRD,-19.9%),每周3-7天走8000步或以上的年轻和年长参与者全因死亡风险也较低(<65岁:aRD,-7.8%;≥65岁:aRD,-27.7%)。不难看出,65岁及以上的老年人获益更大。
从性别分层来看,与每周0天走8000步或以上的参与者相比,无论男女,每周1-2天每天走8000步或以上全因死亡风险较低(男性:aRD,-20.8%;女性:aRD,-11.6%),每周3-7天也有类似的获益趋势(男性:aRD,-23.8%;女性:-12.2%)。似乎男性获益更大。
不同分层的获益情况
总的来说,这项基于美国成年人的队列研究表明,一周内走8000步或以上的天数与10年后的全因和心血管死亡风险降低有关。
更重要的是,与那些每周有3-7天走了≥8000步的人相比,即使每周只有1-2天走了8000步或以上,全因和心血管死亡率竟然也会大幅降低,甚至可以说降幅接近。这意味着,这对于那些工作日没有时间运动的人来说,只要周末抽一两天每天走8000步,就可以获得有意义的健康益处。
简直是天大的好事儿!
参考文献:
[1].Inoue K, Tsugawa Y, Mayeda ER, Ritz B. Association of Daily Step Patterns With Mortality in US Adults. JAMA Netw Open. 2023;6(3):e235174. Published 2023 Mar 1. doi:10.1001/jamanetworkopen.2023.5174
[2].https://www.who.int/westernpacific/health-topics/physical-activity
[3].Dos Santos M, Ferrari G, Lee DH, et al. Association of the “Weekend Warrior” and Other Leisure-time Physical Activity Patterns With All-Cause and Cause-Specific Mortality: A Nationwide Cohort Study. JAMA Intern Med. 2022. doi:10.1001/jamainternmed.2022.2488
[4].Del Pozo Cruz B, Ahmadi MN, Lee IM, Stamatakis E. Prospective Associations of Daily Step Counts and Intensity With Cancer and Cardiovascular Disease Incidence and Mortality and All-Cause Mortality. JAMA Intern Med. 2022;182(11):1139-1148. doi:10.1001/jamainternmed.2022.4000
[5].Paluch AE, Gabriel KP, Fulton JE, et al. Steps per Day and All-Cause Mortality in Middle-aged Adults in the Coronary Artery Risk Development in Young Adults Study. JAMA Netw Open. 2021;4(9). doi:10.1001/jamanetworkopen.2021.24516
[6].I-Min Lee, Eric J. Shiroma, Masamitsu Kamada et al. Association of Step Volume and Intensity With All-Cause Mortality in Older Women[J]. JAMA Internal Medicine, 2019. DOI:10.1001/jamainternmed.2019.0899
[7].Paluch AE, Bajpai S, Bassett DR, et al. Daily steps and all-cause mortality: a meta-analysis of 15 international cohorts. Lancet Public Health. 2022;7(3):e219-e228. doi:10.1016/S2468-2667(21)00302-9
来自: 奇点网
更多阅读:




