“吸烟戒烟两相宜,吞云吐雾胜真烟”,你是不是也听过这样的广告语,助戒烟还不上瘾。但是,电子烟真的安全吗?
电子香烟是一种手持电池供电的设备,它利用液体加热产生的蒸汽供吸入。这种液体也被称为“电子液体或电子果汁”,是丙二醇、甘油或植物甘油、香精和不同浓度的尼古丁的混合物,实则也是“科技与狠活”。
有研究发现,许多存在于香烟烟雾中的有毒物质和致癌物也存在于电子烟蒸汽中,尽管其含量要低得多。目前来看,电子烟对健康的长期影响尚不完全清楚。
近日,美国南加州大学凯克医学院的Ahmad Besaratinia教授团队在Nicotine Tob Res杂志上发表最新研究:使用电子烟的时间越长,口腔细胞发生的DNA损伤越多,而且电子烟的设备类型和味道决定了检测到的DNA损伤程度。该研究可能对公共卫生和烟草产品监管产生重大影响。

图片来源:doi: 10.1093/ntr/ntad003
电子烟蒸汽或香烟烟雾中存在的许多有毒和致癌物质是通过诱导DNA损伤来发挥其生物效应的。DNA损伤与人体多个器官的癌症发生有关,口腔上皮是与烟草制品使用相关的癌症的主要靶点。本篇文章的研究人群包括仅使用电子烟的健康成年人、仅吸烟者和不使用任何烟草产品的人,并按照年龄、性别和种族匹配。
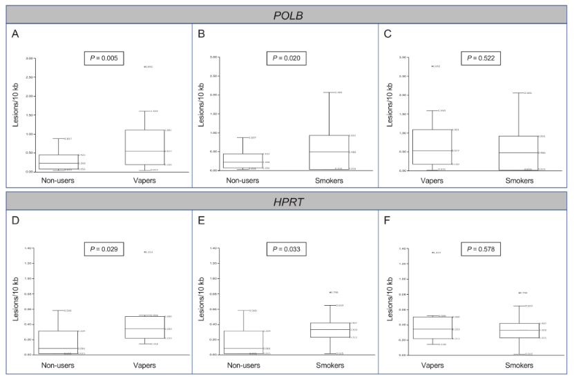
首先,研究人员通过高灵敏度的长扩增定量聚合酶链反应(LA-QPCR)测定量化口腔上皮细胞中的DNA损伤,发现与不使用电子烟的人相比,电子烟使用者和吸烟者口腔细胞中的DNA损伤水平都明显更高,平均水平分别增加了2.6倍和2.2倍(p = 0.005和p = 0.020),并且吸烟者与吸电子烟者口腔细胞中POLB基因的DNA损伤水平没有显著的统计学差异(p = 0.522)。对HPRT基因也进行LA-QPCR分析,结果与POLB基因相似,且二者DNA损伤水平之间存在显著相关性(r = 0.647, p < 0.0001)。作者表示,对DNA损伤量化有助于确定电子烟的潜在遗传毒性。

图1. 电子烟使用者与非使用者、吸烟者与非使用者、电子烟使用者与吸烟者之间DNA损伤水平的比较。图片来源:doi: 10.1093/ntr/ntad003
那么,电子烟和传统香烟诱导的DNA损伤是否存在剂量依赖性呢?研究人员以使用强度和持续时间为指标,进一步分析了DNA损伤数据。发现与不吸烟者相比,从电子烟轻度使用者到重度使用者,DNA损伤水平呈剂量依赖性增加(F = 4.571, p = 0.0156 | Tukey ‘s HSD p = 0.0195)。在吸烟者中也发现了类似的趋势(F = 4.368, p = 0.0185 | Tukey ‘s HSD p = 0.0135)。

图2. 与非使用者相比,电子烟使用者和吸烟者DNA损伤的剂量依赖性形成。图片来源:doi: 10.1093/ntr/ntad003
此外,电子烟的设备类型不同,对DNA损伤的影响程度也不同。作者将研究人群分为第三代设备的用户(mod),第四代设备的用户(pod),以及多代设备的用户三组,结果显示,与非用户相比,pod设备用户的口腔细胞DNA损伤水平最高,DNA损伤的平均水平增加3.3倍(F = 3.886, p = 0.0152 | Tukey ‘s HSD p = 0.0216);其次是mod的设备用户和多代设备用户,DNA损伤的平均水平分别增加了2.6倍和1.6倍。
同样,电子烟液体的化学成分也会影响使用者DNA损伤的程度。研究人员将电子液体的口味分类为水果味、甜味、薄荷味、烟草味以及多种口味。统计分析发现,与不使用电子烟的人相比,使用甜味电子烟的人口腔细胞中的DNA损伤程度最高(F = 3.238, p = 0.0146 | Tukey ‘s HSD p < 0.05),其次分别是多种口味、薄荷味、烟草味和水果味的电子烟。特别的是,电子烟使用者的尼古丁累积摄入量与口腔细胞DNA损伤水平无关(r = 0.3189, p = 0.1288)。

图3. 电子烟设备类型和电子液体口味对电子烟使用者和非使用者DNA损伤程度的影响。图片来源:doi: 10.1093/ntr/ntad003
最后,作者还通过测量血浆可替宁(尼古丁的主要代谢物)、呼出的一氧化碳(CO)和碳氧血红蛋白(COHb)水平,从生物化学角度上进行了验证。虽然吸电子烟者和吸烟者的血浆可替宁水平都显著高于不吸烟者(p < 0.0001),但与不吸烟者相比,只有吸烟者的CO和COHb水平显著升高(p = 0.0005和p = 0.0002);而吸电子烟者的CO和COHb水平并无明显变化。
简而言之,电子烟的长期使用会造成口腔细胞的DNA损伤,不同类型的电子烟造成的DNA损伤程度有所差异。无论是传统烟草还是电子烟,小编认为,能戒则戒,能少则少,吸烟有害健康!
参考文献:
[1] Tommasi S, Blumenfeld H, Besaratinia A. Vaping Dose, Device Type, and E-Liquid Flavor are Determinants of DNA Damage in Electronic Cigarette Users. Nicotine Tob Res. 2023 Feb 14: ntad003. doi: 10.1093/ntr/ntad003. Epub ahead of print. PMID: 36780924.
来自: 生物谷
更多阅读:
