提到维生素D,大家会不约而同地想到钙。市面上销售着五花八门的添加维生素D的补钙产品,补充维生素D似乎是大家养生的“必修课程”。
没错,维生素D对维持人体的健康状态至关重要,它可以促进钙的吸收,缺乏维生素D会造成佝偻病、软骨病等。
有研究表明,维生素D缺乏会导致死亡风险增加[1],但是,由于伦理原因,目前对维生素D严重缺乏者的随机试验是极度缺乏的[2, 3]。
近日,来自南澳大利亚大学的研究人员在《内科学年鉴》期刊上发表了维生素D缺乏与死亡之间关系的孟德尔随机化研究结果[4]。
25-(OH)D是血清中维生素D最主要的存在形式,也是国际公认的能反映出人体维生素D水平的最佳指标。
研究人员发现,25 -(OH)D浓度与全因死亡、癌症和心血管疾病的死亡风险之间呈现L型关联。维生素D缺乏会增加死亡风险,随着维生素D的浓度增加,死亡风险显著降低。25-(OH)D水平为10 nmol/L的参与者全因死亡风险是50 nmol/L参与者的6倍!这为维生素D与死亡风险之间的关系提供了重要依据。
论文截图
首先,研究人员利用大规模且具前瞻性的英国生物样本库(UK Biobank),从502521人中选取了307601名年龄在37-73岁间,且具有25-羟基维生素D (25-(OH)D)数据的欧洲白人血统参与者作为研究对象。
表型分析采用逻辑回归分析,并通过参与者年龄、性别,评价中心、教育程度、汤森指数、体重指数、体育活动、酒精、吸烟和可能影响测定的25-(OH)D浓度的其他因素(血液采样月、样品采集前禁食时间等)对研究进行校正。
随后,研究人员利用35个25-(OH)D变异基因,基于遗传因素对25-(OH)D的水平进行了计算,并记录了直至2020年6月,参与者的全因死亡和死因别死亡(特殊死因死亡,本研究包括心脑血管疾病、癌症和呼吸系统疾病)情况。
307601名参与者中,血清25-(OH)D平均水平为45.2 nmol/L,其中,11.71%的参与者血清25-(OH)D水平在10.0-24.9 nmol/L之间。
参与者的基线特征,和测定的25-(OH)D浓度分布与维生素D缺乏(< 25 nmol / L)情况
自2006年至2020年随访期间内,有 6.08%(n = 18700)的参与者死亡。其中,基线调查中,未报告教育程度和吸烟的人群死亡率较高,分别为11%和12%。
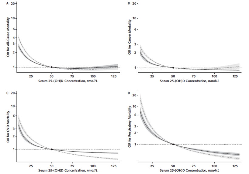
表型分析结果显示,血清25-(OH)D水平与全因死亡和死因别死亡(心血管疾病、癌症和呼吸系统疾病)的风险呈现非线性负相关的关联。
25-(OH)D血清浓度与全因、癌症、心血管疾病和呼吸系统疾病死亡率的优势比(OR)关系均呈现出,25-(OH)D水平低于25 nmol/L,即维生素D缺乏状态时,死亡风险显著升高。
完全校正后的模型数据结果显示,与50 nmol/L相比,25-(OH)D的水平为25 nmol/L的参与者,全因死亡风险增加36%(OR=1.36 [95% Cl, 1.33-1.40])。
测量的25-(OH)D血清浓度与全因、癌症、心血管疾病和呼吸系统疾病死亡率的关系
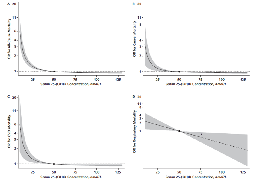
接下来,研究人员利用非线性和线性孟德尔随机化分析基于遗传因素计算出的25-(OH)D水平与癌症、心血管疾病和呼吸系统疾病死亡率的关系。结果显示,25 -(OH)D浓度与全因死亡率(P为非线性,P<0.001)、癌症和心血管疾病(P为非线性,P≤0.033)死亡率呈现L型相关。
并且,在25-(OH)D浓度低于25 nmol/L时,遗传预测的25(OH)D水平与全因、癌症、心血管疾病死亡率相关性最为明显。随着25-(OH)D浓度增加,相关性降低,死亡风险下降,直至50 nmol/L之后,上述的相关性最弱并趋于稳定。
对于呼吸系统疾病死亡率而言,基于遗传因素计算出的25-(OH)D水平与其相关性未呈现出L型相关。但是,研究人员从数据中观察到一些线性相关证据,即遗传预测的25-(OH)D水平每增加10 nmol/L,呼吸系统疾病的死亡风险下降19%(OR=0.81[Cl, 0.68-0.96])。
研究人员发现,与25-(OH)D水平为50 nmol/L相比,25-(OH)D为10 nmol/L的参与者的基于遗传因素计算出的全因死亡风险增加了500%(OR=6.00,95%Cl,3.22-11.17)。同时,与25-(OH)D为25 nmol/L的参与者相比,25-(OH)D为10 nmol/L的参与者的全因死亡风险增加了25%(OR=1.25[Cl,1.16-1.35])。
非线性和线性孟德尔随机化分析遗传预测的25-(OH)D水平与癌症、心血管疾病和呼吸系统疾病死亡率的关系
这些结果说明,随着25-(OH)D水平的降低,参与者遗传预测的全因死亡率逐渐增加。
最后,研究人员利用子样本数据信息,在非白种人群(n = 20837)中进行了敏感性分析,非白种人群的数据也显示出了一致的结果,支持遗传学预测的关系,即25-(OH)D低水平会导致全因死亡率的增加,这为白种人群以外的人群提供了原理验证。
总之,本研究的结果证明了维生素D的缺乏确实与死亡风险存在因果关联,维生素D缺乏会导致死亡率增加。这提示我们在日常生活中要重视维生素D的补充,来降低维生素D缺乏造成的过早死亡风险。
看来,对于缺乏维生素D的人来说,补充维生素D这门“必修课程”真的很重要。
参考文献:
[1]. Liu L, Cui S, Volpe SL, et al. Vitamin d deficiency and metabolic syndrome: The joint effect on cardiovascular and all-cause mortality in the United States adults. World J Cardiol. 2022;14(7):411-426. doi:10.4330/wjc.v14.i7.411
[2]. Cooper C, Harvey NC, Bishop NJ, et al. Maternal gestational vitamin D supplementation and offspring bone health (MAVIDOS): a multicentre, double-blind, randomised placebo-controlled trial. Lancet Diabetes Endocrinol. 2016;4(5):393-402. doi:10.1016/S2213-8587(16)00044-9
[3]. Bolland MJ, Grey A, Avenell A. Assessment of research waste part 2: wrong study populations- an exemplar of baseline vitamin D status of participants in trials of vitamin D supplementation. BMC Med Res Methodol. 2018;18(1):101. Published 2018 Oct 3. doi:10.1186/s12874-018-0555-1
[4]. Sutherland JP, Zhou A, Hyppönen E. Vitamin D Deficiency Increases Mortality Risk in the UK Biobank : A Nonlinear Mendelian Randomization Study [published online ahead of print, 2022 Oct 25]. Ann Intern Med. 2022;10.7326/M21-3324. doi:10.7326/M21-3324
来自:
更多阅读:




