由美国疾病控制与预防中心(CDC)在 2017-2018 年间收集的统计数据可知,该国超 42% 的成年人和 19% 的青少年面临肥胖问题的困扰。而在 2022 年 3 月 29 日发表于《脂质》期刊上的一篇文章中,克莱姆森大学的一支研究团队,刚刚介绍了体内自然产生的某些酶、与肥胖和肝病控制作用之间的深度联系。

截图(来自:Journal of Lipids)
SCI Tech Daily 指出:1975 – 2016 年,全球 5-19 岁超重或肥胖青少年的患病率增长了四倍多(从 4% 到 18%)。

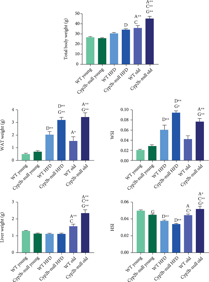
研究配图 – 1:所有治疗组间的总体、肝脏、WAT 重量比较
通常情况下,研究人员倾向于将肥胖视作与过量饮食或运动缺乏有关,然而近年来的一些研究,也揭示了其它潜在影响因素。

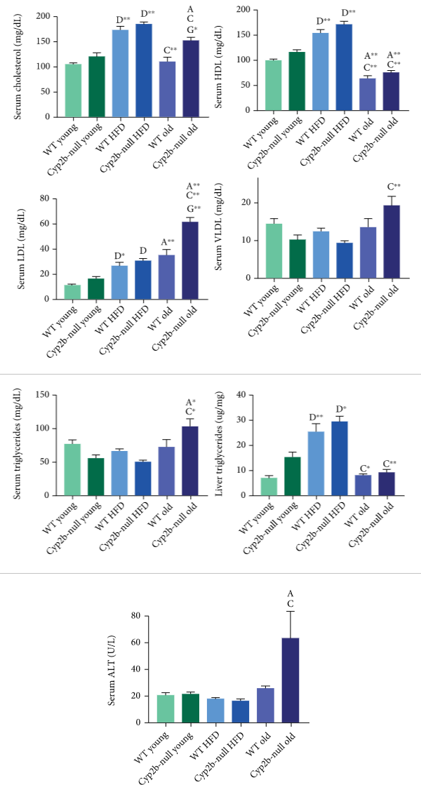
研究配图 – 2:血脂 / 甘油三酯 / ALT 随年龄、饮食和基因型的变化
三名克莱姆森研究人员、携手埃默里大学医学院的同事,对 Cyp2b 酶缺乏的雄性小鼠进行了观察,以了解该因素对小鼠新陈代谢的影响。

(图自:Clemson University College of Science)
有趣的是,该校生物科学系教授兼研究生项目主管 William Baldwin 指出 —— 酶缺乏导致了雄性小鼠的体重增长,而雌性 Cyp2b-null 小鼠却没有表现出相同的效果。

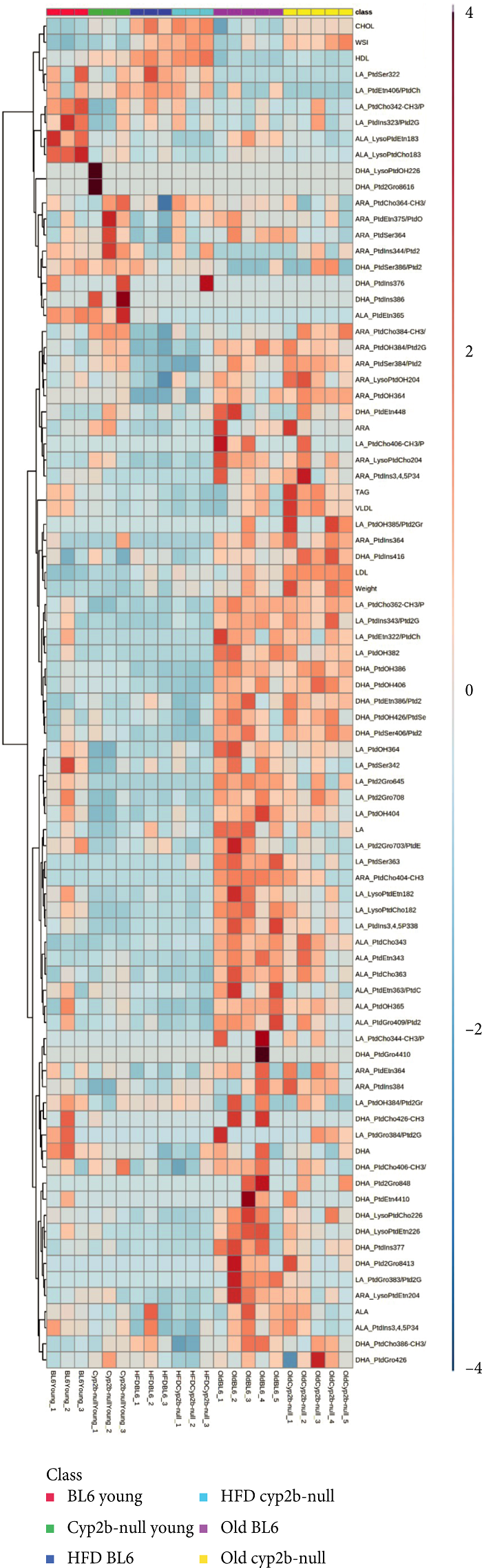
研究配图 – 3:所有治疗组的磷脂谱热图
教授表示:“我们注意到 Cyp2b 缺失的小鼠更重,与对照组相比,它们更容易肥胖 —— 至少饮食因引发肥胖的情况更严重 —— 雄性小鼠尤其如此,我们正试图找出原因”。

研究配图 4-1:PCA 分析
虽然研究人员给出的观察结果很是简洁,当想要深入了解体重增长背后的各因素相互作用、还是要复杂得多。

研究配图 4-2:特定脂质种类与不良胜利事件有关
Baldwin 指出了涉及 CYP 酶的几个化学过程的复杂性 —— 作为在人体中发挥多种功能的酶超家族的一员,Cyp2b 酶有助于某些毒素和药物的代谢、以将它们从体内清除。

研究配图 – 5:治疗组之间的 n-6 : n-3 比率变化
CYP 酶同样也有其它工作,它们可代谢胆汁酸 / 类固醇激素、以及从我们的饮食中代谢多不饱和脂肪 —— 意味着这些因素之间也有相互作用。

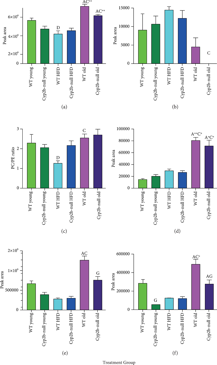
研究配图 – 6:不同的脂质组 / 治疗组之间的比率
如果你的饮食富含脂肪,它可能会抑制你的药物代谢。另一方面,药物也可能抑制人体的脂肪 / 类固醇等物质的代谢、

研究配图 – 7:每种测量的脂质 / 总脂质的比率
研究人员还研究了“受干扰的血脂谱”与疾病之间的关联,结果发现:疾病易感性和整体健康,受到脂质组变化的极大影响。
西式的高脂肪饮食,会导致肥胖、并极大地改变肝脏脂质组。而脂质谱的紊乱,又与特定的肝脏疾病有关 —— 比如非酒精性脂肪性肝病(NAFLD)/ 非酒精性脂肪性肝炎(NASH)。

研究配图 8-1:与 Cyp2b-Null 小鼠相关的脂质种类和结果
此前,Baldwin 曾带领导团队研究饮食与环境毒素之间的联系。而最近的研究,则着眼于衰老和饮食是如何影响这些代谢过程的。
总体而言,随着年龄的增长,实验小鼠会变得更难以调节体重 —— 其体内拥有更重的白色脂肪组织(主要包括脂肪细胞的结缔组织)。
同时在缺乏 Cyp2b 酶的小鼠中,情况要更糟糕一些。不仅体重和肝脏更大,健康度也更加堪忧。

研究配图 8-2:实验组和对照组之间的脂质种类 / 测量变量差异
最后,饮食不良也会导致体重的增加、且 Cyp2b 缺乏小鼠的情况更糟,推测可能是新陈代谢不良导致。至于 Cyp2b 酶的确切作用机理,仍有待进一步的研究去揭晓。
后续 Baldwin 将对比深入研究人鼠之间的异同点,且作为尚未发表的论文的一部分,可知小鼠与人体内酶的工作方式可能并不相同。
比如人体酶似乎倾向于将一些脂肪保留在肝脏中,而小鼠酶则倾向于驱动到白色的脂肪组织。
自 cnBeta.COM
更多阅读:
