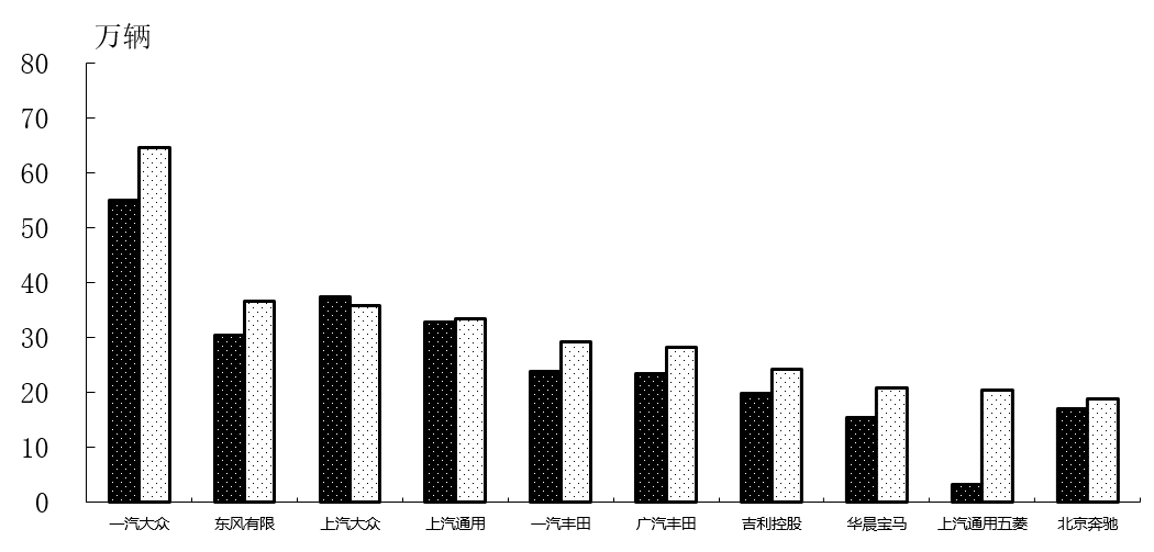
中国汽车工业协会:2021 年上半年销量前十轿车生产企业简析 据中国汽车工业协会统计分析,2021 年上半年,销量排名前十位的轿车生产企业销售占轿车销售总量的 67.1%。在销量排名前十位的轿车生产企业中,与上年同期相比,上汽大众销量略有下降,其他企业保持增长。 更多阅读:中国汽车工业协会:2023年1-2月我国汽车商品出口金额前十国情况简析中国汽车工业协会:2021年5月汽车工业运行情况简述中国汽车工业协会:2022年3月前十位轿车品牌销量排名中国汽车工业协会:2023年4月乘用车产销情况简析中国汽车工业协会: 2023年4月汽车出口情况简析中国汽车工业协会:2023年7月汽车出口情况简析中国汽车工业协会:2023年1-8月汽车类零售总额同比小幅增长中国汽车工业协会: 2023年1-4月重点汽车企业集团销售情况简析中国汽车工业协会:2022年8月我国汽车商品进出口情况简析中国汽车工业协会: 2023年2月汽车出口情况简析中国汽车工业协会:2023年2月汽车工业产销情况简析中国汽车工业协会:2023年1月汽车出口情况简析中国汽车工业协会:2022年12月汽车整车进口情况简析中国汽车工业协会:2022年商用车产销情况简析中国汽车工业协会:2022年10月乘用车产销情况简析