199IT原创编译
美国消费者金融保护局(CFPB)发布了最新的调查报告,多达43%的美国成年人过去一年曾经历入不敷出。
美国人如何看待他们的经济福祉有很大差异。 美国成年人的平均财务状况得分为54(百分制)。然而,在前10%和后10%的的受访者之间有35分的差距。 约1/3的美国成年人的财务状况分数在50或以下,约1/3的分数在51至60分之间,只有1/3的分数为61分或以上。
财务状况分数反映了基本财务状况的实际差异。 50或更低的分数意味着人们经历物质困难的可能性很大。相比之下,60分以上意味着基本满足需求,遇到困难的概率低于10%。这些结果表明,财务健康分数是衡量个人财务状况的有效指标。
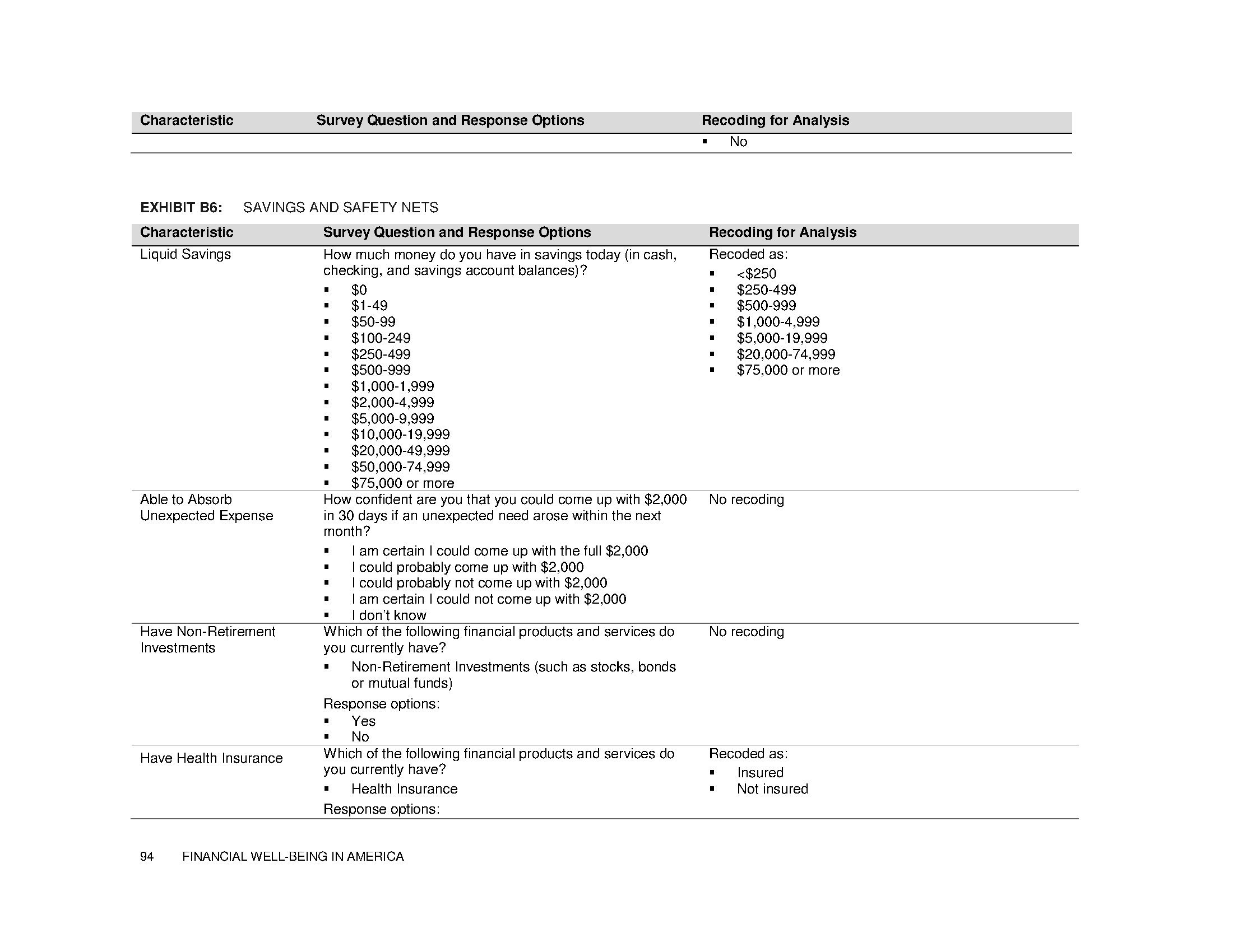
储蓄和金融缓冲在不同财务状况分数群体中有着明显的差异。 储蓄水平最低(250美元以下)的成年人的平均财务状况分数为41分;在流动性储蓄的(75,000美元以上)成年人中平均财务状况分数为68分。这突显了储蓄和其他安全网在帮助人们获得财务安全方面的重要性,这是财务状况的基本要素之一。在CFPB的这项调查中,超过一半的受访者表示,他们在必要情况下每月能拿出2000美元应对意外支出。然而在流动性储蓄方面,近四分之一的受访者手头只有不到250美元。
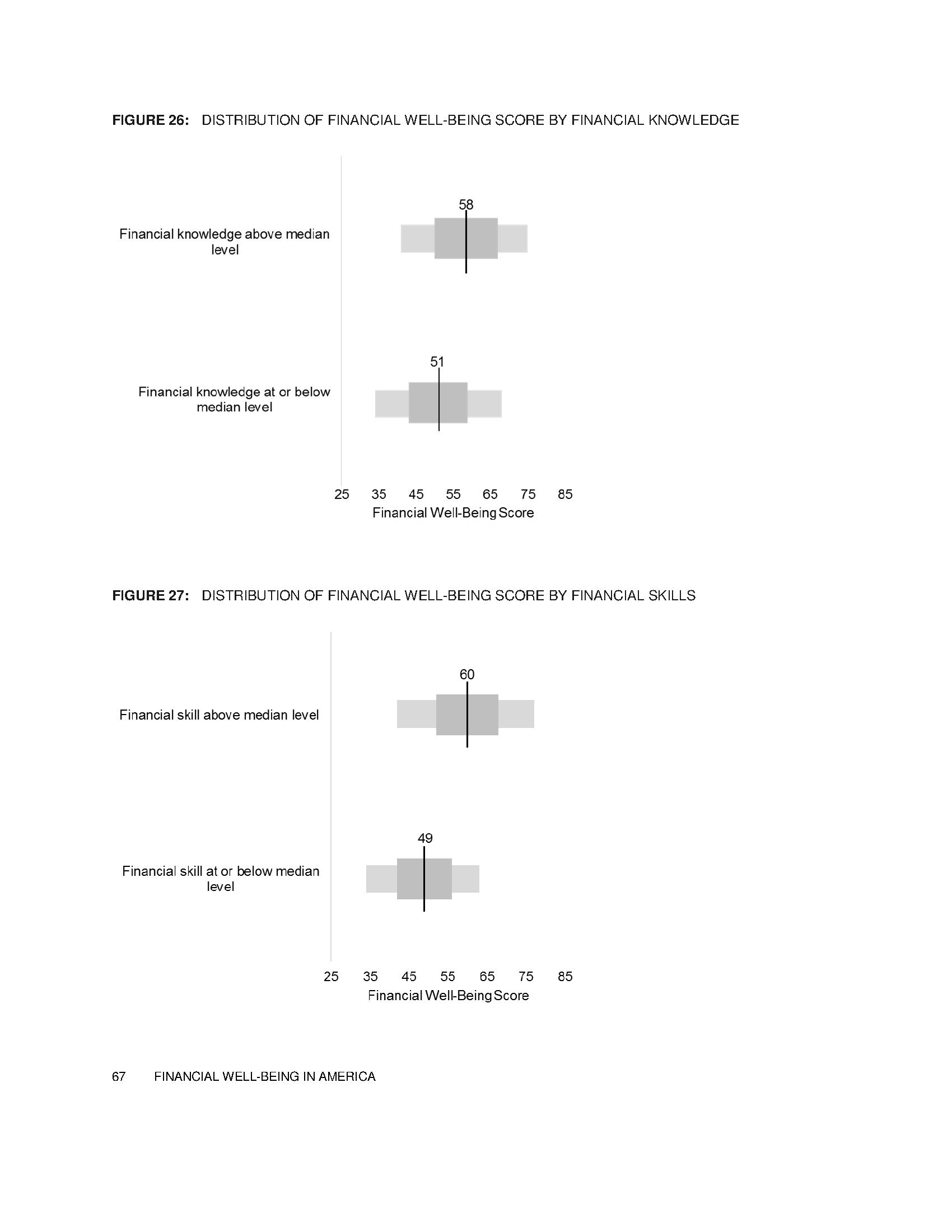
债务和信贷方面的某些经验似乎与财务状况也有着密切联系。而且,财务知识、信心和日常资金管理行为也与财务状况有着紧密的联系,特别是对实现财务目标的能力的信息、定期的储蓄习惯,以及有效的日常理财行为。
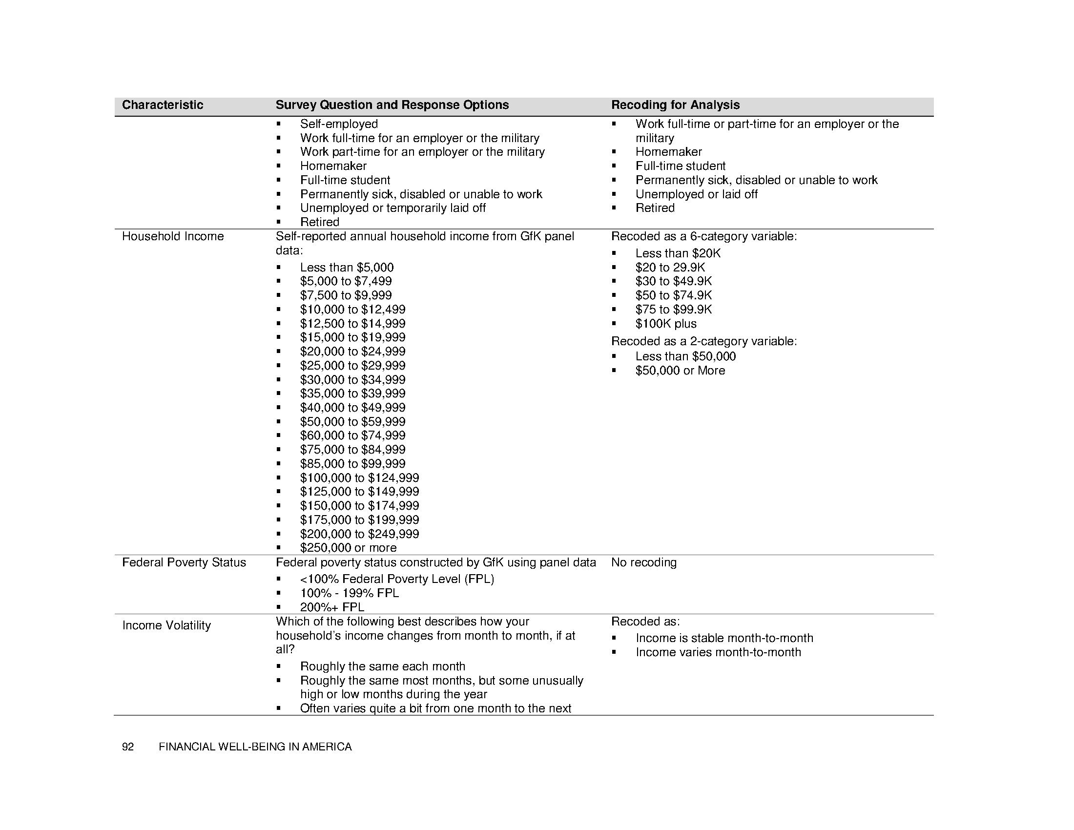
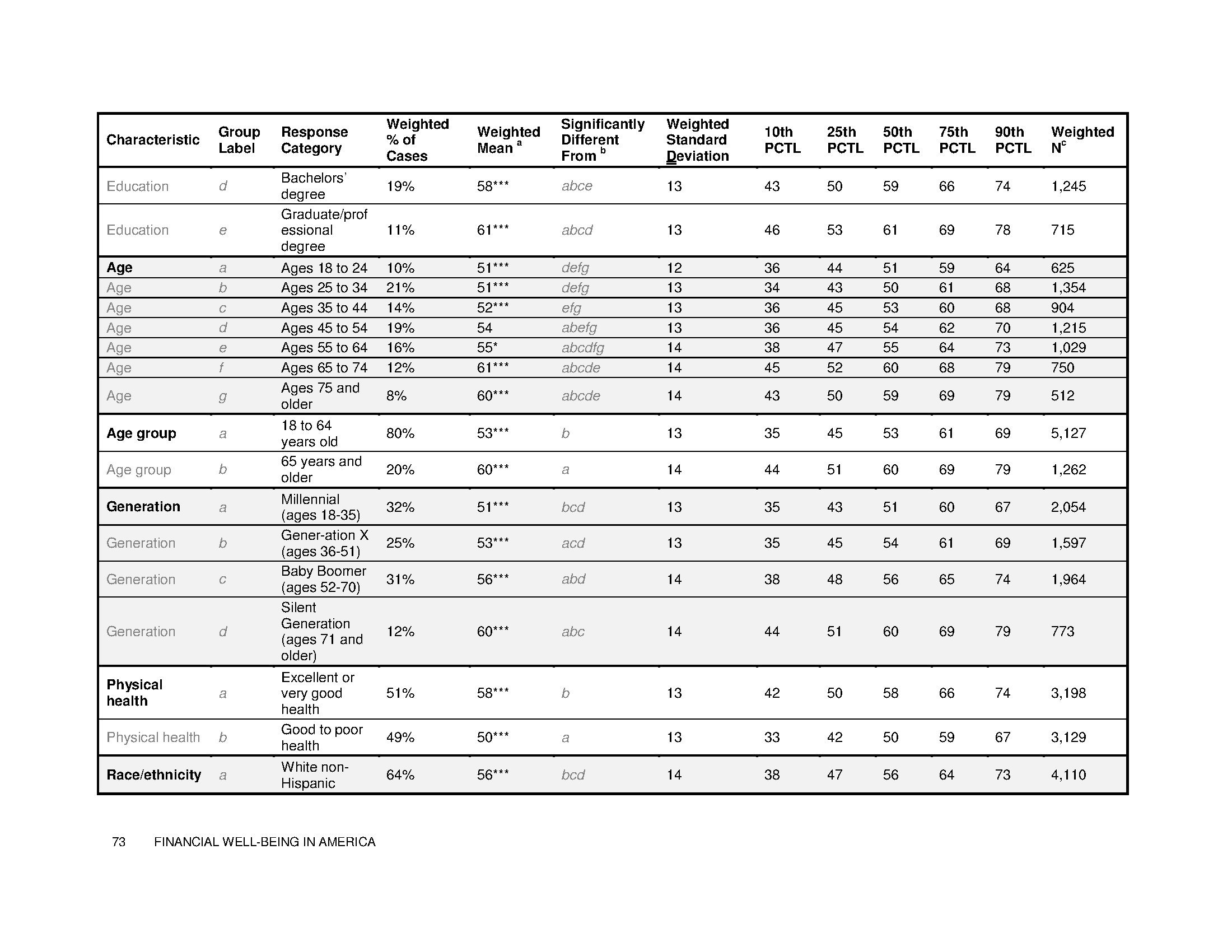
某些财务和人口特征与财务状况相关,例如就业状况、收入和受教育水平。
许多因素可能影响特定个人的财务状况的实际水平。因此,即使处于相对劣势的群体的个人也可能有补偿因素和策略,为这些个人提供机会可以提高其财务状况。

PDF版本将同步到199IT交流群,199IT感谢您的支持!
更多阅读:

