风味独特的红酒、鲜香解腻的腐乳、清甜绵密的酸奶、朴实无华的馒头……生活中这些常见的食物,都有一个共同的制作过程——发酵。藏着“极简人类吃货史”的发酵食品,是“传承百万年的美味”。
从另一个层面讲,植物食品为主的地中海饮食、素食和DASH饮食已被证明能够有效减少心血管疾病(CVD)的风险。有趣的是,这几种饮食模式中高达40%的食材是发酵食品和饮料。那么问题来了,这些发酵食品是否对健康有影响?影响程度有多大?值得进一步深究。
近日,Nature reviews cardiology期刊发表了一篇题为“Cardiovascular benefits of fermented foods and beverages: still up for debate”的评述文章[1],多个层面总结分析了发酵食品的心血管益处。
https://doi.org/10.1038/s41569-023-00938-3
首先,我们先要了解什么是发酵。发酵是指复杂的有机化合物在微生物的作用下分解成比较简单的物质,例如在淀粉酶和葡萄糖苷酶等酶的作用下,葡萄糖和其他碳水化合物被并降解为更简单的分子,如乳酸、乙醇和短链脂肪酸。自古以来发酵一直用于保存和运输新鲜食物以及酿酒。通过发酵可改善食物的营养品质,增加新的风味和味道,使其更令人愉快,对消费者更有吸引力。
我们日常饮食中的牛奶、肉、鱼、水果、蔬菜、豆类和谷物都可以进行发酵:
- 牛奶和乳制品发酵食品包括酸奶、奶酪、马奶酒和开菲尔。
- 肉类和肉制品发酵食品包括熏牛肉(土耳其) 、萨拉米香肠(匈牙利、希腊和意大利)、夏日香肠(美国)以及辣香肠(西班牙)。
- 水果和蔬菜发酵食品包括食用橄榄和泡菜。
- 豆类发酵食品包括绿豆和大豆制品。
- 谷类发酵食品包括面包、发酵大米和玉米、味增和高粱。
- 包括啤酒和红酒在内的发酵饮料,其中的高含量的生物活性多酚平衡了中等浓度的乙醇,这一作用经科学证明对心血管有益。
图:发酵食品和饮料对心血管疾病及相关危险因素的可能影响(来源:文献[1])
学术界关于发酵食品是否对心血管具有保护作用争议不断且尚无定论。一些研究分析了含有活性微生物的发酵乳制品对心脏的保护作用,结果仍然不确定,例如一项前瞻性研究[2]发现,总乳制品消费量与心血管疾病风险之间存在一定程度的负相关关系,但是对于发酵乳制品(酸奶和奶酪)的相关性不一致。
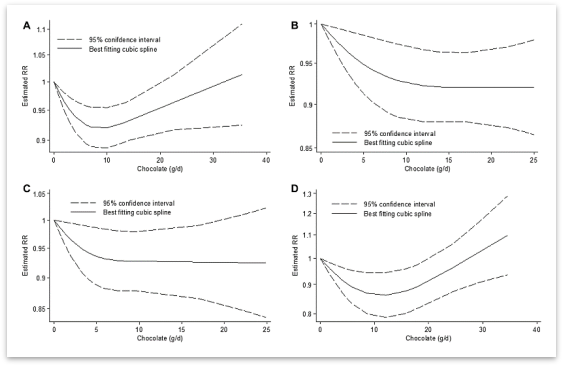
此外,许多研究表明,不含活微生物的发酵食品和饮料对心血管有益。研究[3,4,5]指出,适度饮用咖啡(每天3-4杯)可将心血管疾病风险和心血管疾病相关死亡率分别降低15%和19%;适量饮用葡萄酒(男性,5-30克酒精/天)或啤酒(20-45g/天),冠状动脉疾病风险分别降低60%和42%;每天摄入10克巧克力,中风、冠状动脉疾病和二型糖尿病的风险分别降低了10%、4%和6%。
图:每日巧克力摄入量与几类疾病间的非线性剂量-反应关系(来源:文献[5])
发酵食品的健康益处取决于几个因素,如所用微生物(益生菌)的组成,原料(益生元)和生产方式。发酵食品可以改善肠道微生物群,帮助形成多样化和平衡良好的肠道微生物群。在发酵过程中,食物中的微生物通过还原单糖使营养物质更容易吸收,或产生维生素(如维生素 B12和 K2)、生物活性肽和脂肪酸来增强其营养特性。有趣的是,微生物还可以转化食品成分,如可溶性纤维和多酚,以产生更多的生物活性化合物,如短链脂肪酸和酚类代谢物,对身体健康十分重要。
提高免疫系统功能方面,发酵食品在也有很大优势。微生物的细胞成分如肽聚糖、胞外多糖、脂磷壁酸和 D-苯基乳酸具有免疫调节作用。发酵成分还可以帮助减少免疫细胞产生的促炎细胞因子或激活特定的 G 蛋白偶联受体,抑制脂肪分解和动脉粥样硬化的发展。发酵衍生的生物活性肽,通常存在于酸奶、开菲尔、泡菜和酸菜中,抑制血管紧张素Ⅰ转化酶,从而有助于降低血压。
血脂改善方面,含有酒精的发酵饮料,如葡萄酒、啤酒、苹果酒和清酒,通过增加高密度脂蛋白胆固醇水平和降低低密度脂蛋白胆固醇水平来改善血脂状况,发酵豆制品中的异黄酮也能改善血脂水平。
除此之外,令人惊喜的是,除了纤维含量和低血糖指数,许多发酵食品(例如乳制品)还含有具有促胰岛素作用的生物活性肽、多酚或短链脂肪酸,在增加胰岛素敏感性很有好处。开菲尔、康普茶、葡萄酒和啤酒等发酵饮料也含有生物活性多酚,已证明的抗氧化和抗炎特性,是防止包括心血管疾病在内的许多慢性疾病的基础。
综上所述,发酵食品和饮料不仅美味,更有着难得的健康属性。更好地了解发酵食品和饮料在健康饮食中的作用,将有助于设计有利于心血管健康和其他健康的新饮食,有望成为食品创新的神奇“魔法”,进而起到提高生活质量、延长寿命的目的。
参考文献:
[1] Estruch, R., Lamuela-Raventós, R.M. Cardiovascular benefits of fermented foods and beverages: still up for debate. Nat Rev Cardiol (2023).
[2] Gille, D., Schmid, A., Walther, B. & Vergères, G. Fermented food and noncommunicable chronic diseases: a review. Nutrients 10, 448 (2018).
[3] De Giuseppe, R., Di Napoli, I., Granata, F., Mottolese, A. & Cena, H. Caffeine and blood pressure: a critical review perspective. Nutr. Res. Rev. 32, 169–175 (2019).
[4] Arriola, L. et al. Alcohol intake and the risk of coronary heart disease in the Spanish EPIC cohort study. Heart 96, 124–130 (2010).
[5] Morze, J. et al. Chocolate and risk of chronic disease: a systematic review and dose-response meta-analysis. Eur. J. Nutr. 59, 389–397 (2020).
来自: 生物谷
更多阅读:



