一个简单的小问题:在某底捞突然听到隔壁桌一群服务员正围着唱生日歌“和所有的烦恼说拜拜”,你会怎么做?
A、加入唱歌队伍,向寿星祝贺并蹭口蛋糕吃,仿佛是多年好友
B、同情被唱生日歌的寿星,如果不幸经过那一桌还会绕道走
依照对问题的回答,我们来做个简单的“诊断”。如果毫不犹豫地选B,再明显不过了,你就是“社恐本恐”;而如果你的选择是A, 那你就是另一种意义上的“社恐”没跑了——“社交恐怖分子”,堪称“社牛”的进化版。
社牛和社恐之间就像白天不懂夜的黑,仿佛隔着一个银河系的距离。每当“社牛”在前面大放光彩的时候,“社恐”人那真是又羡慕(他们究竟是如何做到“只要自己不尴尬,尴尬就是别人的”?)又害怕(担心一些社牛人会闯进自己的小世界而被他们创亖)。
如果非要给“社牛”下一个明确的定义,可以总结为一种“乐于社交”的态度。社牛大多性格外向,在社交方面毫不胆怯,能很快地与陌生人打成一片,拥有极强的社交能力。他们往往可以在各种社交场合游刃有余,甚至有时会“放飞自我”。
更意想不到的是,近日多项研究显示,这些热爱参加社交活动的“社牛”们往往更长寿且脑子更大!
越社牛,越长寿!
来自四川大学华西医院的何森研究团队在分析了中国纵向健康长寿调查(CLHLS)队列中的近3万参与者后发现,更频繁地参加社交活动,老年人的寿命也将越长,尤其是几乎每天都社交的!
https://dx-doi-org.webvpn.cams.cn/10.1136/jech-2022-219791
人口老龄化早已成为世界上大多数国家面临的重大挑战,“健康老龄化”的概念逐渐成为诸多研究关注的对象。先前研究发现,积极地参与社会活动能有效降低痴呆症、冠状动脉疾病、心理健康风险以及全因死亡风险;而另有些反方向的研究表明,社会隔离与更高的心血管风险和全因死亡有关。
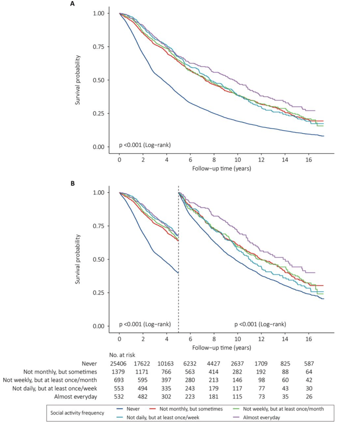
为探明中国人群中老年人“社牛”与否与总体生存率之间的关系,研究者从中国纵向健康长寿调查(CLHLS)的前瞻性队列研究中收集到28,563名研究对象,中位年龄在89岁。并根据社会活动频率分为5类,包括几乎每天、不是每天但每周≥1次、不是每周但每个月≥1次、不是每月但有时、从不。
在132,558.6人·年的随访之后,累计记录到21,161名死亡。
结果显示,随着社交频率从“几乎每天”至“从不社交”的上升,各组的全因死亡率也随之上升,分别为7.4%、9.0%、9.1%、9.3%和17.2%。
在调整了混杂因素之后的结果更为明显,与从不参加社交活动的“社恐”相比,更频繁地参加社会活动的老年人的总体生存时间更长。
具体来说,以从不参加社交活动的为基线,不是每月但有时参加社交活动的老年人的总生存期将延长71%,不是每周但每个月≥1次的延长85%,不是每天但每周≥1次的延长158%,而几乎每天的显著延长248%。
社交活动频率与总生存率的调整关系
值得注意的是,在最先前随访的5年中,社会活动越频繁,生存时间也确实会更长。但随访5年后,社交活动频率与总生存时间之间存在阈值效应,只有几乎每天都参加社交活动的老年人才能显著延长总生存时间,其中死亡时间约延长了204%。
看来,那些天天出去social的“社交悍匪”才最长寿。社恐羡慕社牛的理由+1!
研究者认为,经常出去参加社交可能会影响个人的健康行为,比如更多的体育活动和更少的久坐时间,对某些类型的慢性病有潜在的好处。此外,多多参加社交活动的老年人往往会受到同伴或社会的影响,可能会鼓励更多的健康饮食行为和摒弃一些不健康的习惯,这都会与健康寿命产生正向联系。
Kaplan-Meier总体生存基线社会活动频率的生存曲线
综上所述,越社牛,越长寿。随着参加社交的频率增加,老年人的总体生存时间也会更长。因此,要鼓励老年人多多走出家门,保证充足的社交活动!
越社牛,脑容量越大!
“社牛”的好处远不止长寿,他们的大脑往往会更加“年轻”。Neurology上最新发表的研究发现:更多地接触社会,与总体和认知功能相关的脑容量更大相关,即“社牛”罹患痴呆和晚年抑郁症的概率也自然更低。
https://doi.org/10.1212/WNL.0000000000207602
研究者收集到8896名基线无痴呆症、65岁及以上的老年人。根据与非同居的亲戚与朋友的接触频率,所有参与者被分为4组:每天、每周几次、每月几次、很少。而大脑萎缩的情况则是采用脑部核磁共振扫描,记录下大脑总量和区域体积、颅内体积(ICV)和白质病变体积来评估。
结果显示,经过多变量调整后,社牛的大脑总体积明显大于社恐。具体来说,社交频率最高组的脑总体积占颅内总体积百分比为67.8%;随着社交频率的降低,大脑总体积占比也呈下降趋势;而该比例在社交频率最低组为67.3%。
不同社交频率下总大脑体积的变化情况
更精细地划分下,随着社交频率的降低,大脑白质病变体积会显著增加。与最“社牛”组相比,最“社恐”组的白质病变体积为0.30%,远小于前者的0.26%。
此外,很少参与社交活动的老年人往往有着更小的大脑颞叶、枕叶、蝶窦、海马和杏仁核体积,且存在明显的统计学意义。
事实上,“社恐”老年人的大脑区域体积的减少,部分原因要归结于抑郁症状,占观察到关联的15-29%。与上述研究一致,乐于参加社交活动的老年人有着更好的心理健康,罹患抑郁的风险更小,脑部相关区域的萎缩情况自然也得到了改善。
大脑白质病变体积与社交频率之间的关系
综上所述,越社牛,脑容量越大。更多地参加社交活动,老年人的总体与认知相关区域的大脑容量也会保持在更“年轻”的状态,这也与更低的痴呆症以及晚年抑郁症状风险有关。
家有老人,还是多多鼓励他们走出家门,更多地参加社交活动吧!除了能有三五个好友一起聊聊天外,还能阻止甚至逆转脑容量下降,提高思维和记忆力。
社恐羡慕社牛的理由再+1!希望有好心的社牛能闯入本社恐的世界,带我们共同进步和长寿。
参考资料:
[1] Wang Z, Zheng Y, Ruan H, et alAssociation between social activity frequency and overall survival in older people: results from the Chinese Longitudinal Healthy Longevity Survey (CLHLS)J Epidemiol Community Health 2023;77:277-284.
[2]Hirabayashi N, Honda T, Hata J, Furuta Y, Shibata M, Ohara T, Tatewaki Y, Taki Y, Nakaji S, Maeda T, Ono K, Mimura M, Nakashima K, Iga JI, Takebayashi M, Ninomiya T; as the Japan Prospective Studies Collaboration for Aging and Dementia (JPSC-AD) Study. Association Between Frequency of Social Contact and Brain Atrophy in Community-Dwelling Older People Without Dementia: The JPSC-AD Study. Neurology. 2023 Sep 12;101(11):e1108-e1117. doi: 10.1212/WNL.0000000000207602. Epub 2023 Jul 12. PMID: 37438128.
撰文 | Swagpp
编辑 | Swagpp
来源 | 梅斯医学
更多阅读:






