2023年5月,上海交通大学的学者在《Prog Neuropsychopharmacol Biol Psychiatry》(IF=5.20)发表题为:Associations between sleep disturbance, inflammatory markers and depressive symptoms: Mediation analyses in a large NHANES community sample 的研究论文。
这项研究目的是探索炎症在睡眠障碍和抑郁症之间的关系中所起的作用。结果表明,与没有抑郁症或睡眠障碍的参与者相比,患有抑郁症和/或睡眠障碍参与者的炎症标志物水平更高。

摘要与主要结果
一、摘要
背景:抑郁症和睡眠障碍都与炎症有关。然而,炎症在睡眠障碍和抑郁症之间的关系中所起的作用尚不清楚。
方法: 在2005-2018年NHANES(n=32749)人群中检测了炎症标志物(中性粒细胞–淋巴细胞比率[NLR]和C反应蛋白水平[CRP])、睡眠障碍和抑郁症状之间的成对关联。
结果:与没有抑郁症或睡眠障碍的参与者相比,患有抑郁症和/或睡眠障碍参与者的炎症标志物水平更高。即使考虑了广泛的潜在混杂因素(如年龄、性别、体重指数),睡眠障碍也与炎症标志物和抑郁症状呈正相关。炎症标志物水平与抑郁症状呈非线性相关,与治疗后的抑郁症状呈正相关。
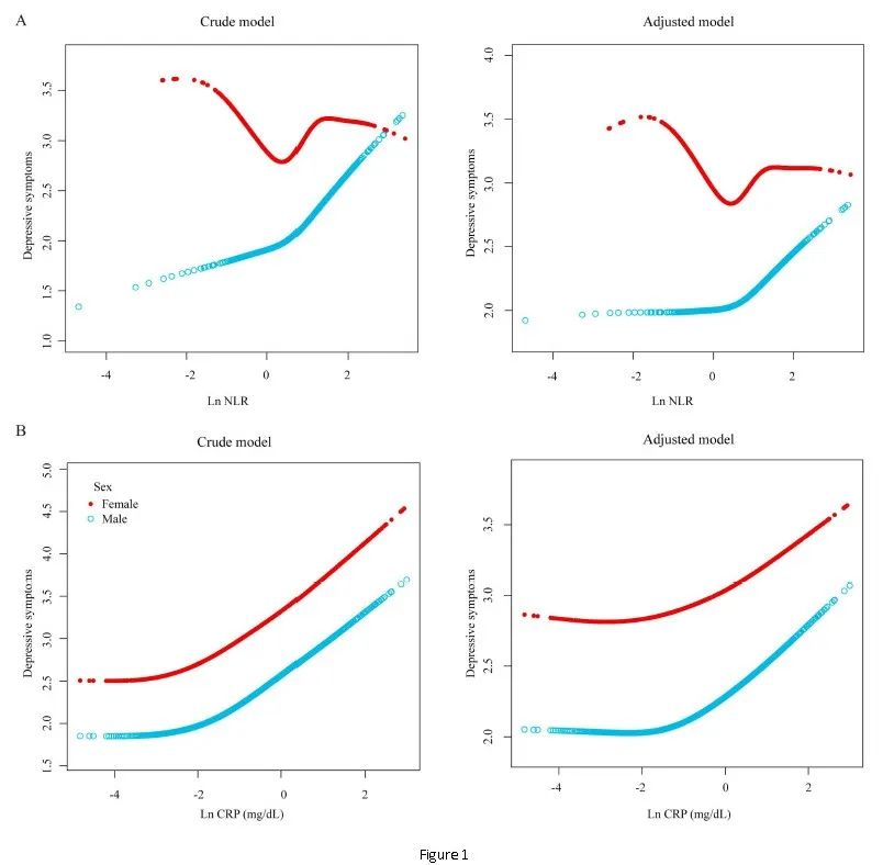
二、研究结果
1. 基线特征
总共有32749名参与者参与了这项研究,参与者的平均年龄为47.80岁,其中49.64%为男性。15.22%的参与者有睡眠障碍,8.37%的参与者有抑郁症,中位CRP水平和NLR分别为0.42 mg/dL和2.16 mg/dL 。与没有抑郁症或睡眠障碍的参与者相比,有抑郁症和/或睡眠障碍参与者的炎症标志物水平更高。

2.睡眠障碍与抑郁症状和炎症标志物的相关性
在校正了潜在的混杂因素(年龄、性别、种族/民族、吸烟状况、饮酒状况、体育活动、婚姻状况、教育水平、共病状况和BMI)后,睡眠障碍与抑郁症状显著相关(β=4.56,95%置信区间[CI]=4.46-4.65,p<0.001)。睡眠障碍与炎症标志物有关(NLR:β=0.02,95%CI=0.00-0.03,p=0.009;CRP:β=0.07,95%CI=0.03-0.11,p<0.001)。
性别调节了睡眠障碍与抑郁症状之间的关系(调整后的效应大小=0.343,交互作用p值<0.001)以及睡眠障碍与炎症标志物之间的关系。女性睡眠障碍与抑郁症状之间的正相关性比男性更强。在校正了所有协变量后,睡眠障碍与男性的炎症标志物相关,但与女性无关。

3.炎症标志物与抑郁症状之间的非线性关联
炎症标志物与抑郁症状之间的关联是非线性的。达到拐点后,抑郁症状的严重程度随着炎症标志物水平的升高而增加。


4.炎症标志物对睡眠问题和抑郁症状的中介作用
炎症标志物在男性中显著介导睡眠障碍和抑郁症状之间的关联,但在女性中没有。








来自: 公共数据库与孟德尔随机化
更多阅读:
