资产表现
过去一个月,各大类资产表现如下:
股市:A股小幅下跌,港股和美股均有上涨,欧股小幅上涨,新兴市场上涨。A股主要指数均有小幅回调,上证指数下跌0.2%,沪深300指数下跌0.5%。港股上涨,主要是科技股表现优异,恒生科技涨9.6%,拉动恒指升3.1%,恒生国企升2.6%;美股亦有所上涨:纳指上涨6.7%,标普500上涨3.5%,道指升1.9%;欧股持续反弹,欧元区斯托克50指数上涨1.8%,英意股指微跌在1%,法德股指上涨1%左右;日股上涨2.2%;新兴市场指数下跌2.7%。
债市:收硅谷银行和瑞士信贷事件影响,美债收益率波动较大,美10Y,2Y国债收益率大幅下跌。10Y美债利率下行45BP至3.47%,5Y美债下行61BP至3.57%,2Y美债大幅下行79BP至4.03%。国债收益率曲线仍维持倒挂,差值缩小到到47bp。10Y中债收益率下跌6BP至2.86%。
汇率:美元指数下跌,美元走弱,人民币走强。美元兑在岸人民币下跌0.9%到6.87,兑离岸人民币跌1.2%到6.87。欧元汇率涨2.5%,欧元兑美元今值1.08。日元升值2.4%,美元兑日元升至到132.86。
大宗:黄金大跌5.6%,NYMEX油价下跌2.3%。
表:全球资产表现(20230228-20230331)
数据来源:BLOOMBERG,大成基金
分行业看,除去金融,能源和地产外,各行业指数3月份均上涨。信息技术,电信,和公用事业板块表现最好,分别上涨9.5%,8.8%和5.1%,其余各行业涨幅均在1%-5%。分地区来看,全球各市场指数均有所上涨,MSCI中国指数上涨4.5%,MSCI发达国家指数上涨3.2%,新兴市场国家上涨3.0%。
MSCI 中国分行业指数显示,中国各行业中表现最好的是电信和能源,涨幅分别达到12.1%和9.9%,个行业中医药卫生,材料,地产和公用事业板块下跌。
表:行业指数表现(20230228-20230331)
数据来源:BLOOMBERG,大成基金
资金监测
本月焦点:自1月份以来,海外资金大幅流入港股,进入三月份,除去三月第一周有外资流出外,第二周第三周外资均流入,但是其中主动资金流入较少,90%以上为被动资金流入,三月前三周净流入约5亿美元。南向资金3月以来持续流入港股,南向资金净买入额五日平均在20亿港币左右。
大类资产方面,2月份美国等发达国家股票市场资金大幅流出,国际资金大量流向新兴市场国家,债券继续流入,货币市场持续流出。
中国市场
海外资金:A股主动外资转为流入
截至本周三(3月23日-3月29日),A股主动外资转为流入0.23亿美元,被动资金流入2.39亿美元,整体流入2.62亿美元(vs. 上周净流入2.58亿美元);与此同时,港股海外资金流入5.02亿美元(vs. 上周净流入2.32亿美元),其中主动资金流出0.10亿美元,被动资金流入5.13亿美元。
从基金申购赎回情况看,本周(3月23日-3月29日),专注投资A股的海外基金继续净申购4.37亿美元(vs. 上周5.67亿美元的净申购),主动基金净申购0.74亿美元,被动基金净申购3.63亿美元;专注投资H股和海外中资股的海外基金继续净赎回0.13亿美元(vs. 上周0.08亿美元的净赎回),主动基金净赎回0.11亿美元,被动基金净赎回0.02亿美元。
互联互通资金:互联互通双向流入小幅收窄
北向维持流入,较上周小幅收窄。本周互联互通北向继续流入,全周除了周一均为流入,全周累计流入104.64亿元,日均流入20.93亿元(vs. 上周日均流入21.90亿元)。分行业看,食品饮料、医药生物涨幅较大,非银金融、科技硬件跌幅较大。
南向流入收窄。本周南向全周均为流入,全周总计流入规模129.73亿港币,日均流入25.95亿港币(vs. 上周日均流入33.51亿港币)。行业层面,能源/原材料、汽车涨幅较大,房地产跌幅较大。
全球市场
跨资产:全球股票转为流出,债券转为流入,货币市场继续流入
本周全球股票型基金转为流出51.63亿美元(vs. 上周流入26.21亿美元);债券基金转为流入23.47亿美元(vs. 上周流出11.81亿美元);货币基金继续流入600.73亿美元(vs. 上周流入1428.71亿美元)。
跨市场:美股和发达欧洲继续流出,日本和新兴市场继续流入
美股本周继续流出58.22亿美元(vs. 上周流出22.76亿美元),发达欧洲继续流出5.89亿美元(vs. 上周流出12.67亿美元),日本股市继续流入0.81亿美元(vs. 上周流入27.94亿美元),新兴市场继续流入7.51亿美元(vs. 上周流入29.34亿美元)。
美国内部,美股ETF基金流出21.19亿美元(vs. 上周流入7.43亿美元);美国高收益债流出23.30亿美元(上周流出21.12亿美元)。
中国
数据跟踪
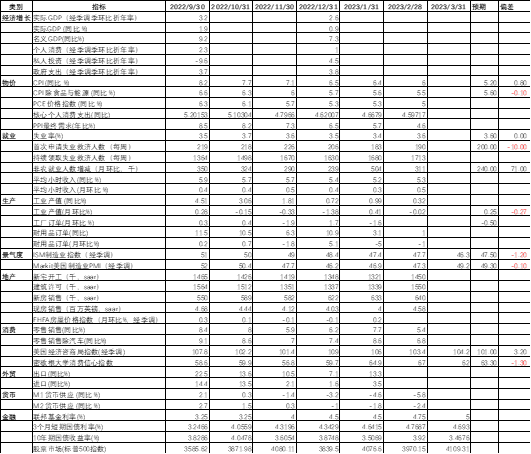
中国经济复苏按下快进键,1-2月经济数据表现亮眼。工业生产方面,2月份PMI52.6,3月份51.9,连续两个月超预期,1-2月份工业产值累计同比上升2.4%。
投资方面,1-2月城镇累计固定资产投同比上涨5.5%,超出市场预期1%,基建投资同比增长9%,同比增速保持高位,地产投资同比下降5.1%,相较2022年末跌幅收窄3%。
消费方面,1-2月累计社零同比上升3.5%,较12月上升4%,消费复苏强劲。
外贸方面,出口1-2月累计同比-1.3%,相较于22年12月-10%的深跌幅有显著回复,进口同比转正,从同比-21%的深跌幅恢复到4%,消费复苏势头强劲。
房地产数据同样大超预期,商品房销售从22年末-26.7%的深跌恢复到1-2月的-0.1%,恢复速度快势头猛,房价和新开工也有大幅好转。
物价方面,CPI持续回落至1%低于预期;PPI同比-1.4%,稍低市场预期。
货币政策仍较宽松,10月份M2供应同比增长保持12.9%,银行贷款同比上升11.96%。
表:中国宏观经济数据跟踪
数据来源:BLOOMBERG,大成基金
美国
数据跟踪
关注美国通胀,2月份美国CPI,PCE均超预期,CPI收6%,超预期0.8%,PCE收5.5%,略低于预期5.6%,美国通胀粘性显现。但是由于硅谷银行等事件发生,美国中小银行面临风险进一步上升,市场预期联储加息节奏会放缓,目前利率期货市场预期加息将持续到6月份峰值达到5%,年底前降息概率升高,受此影响,美国国债收益率下跌。
美国就业市场仍火热,2月失业率保持3.6%的低位,新增就业人口约20万,工资收入保持环比上涨0.5%。生产方面,3月份美国制造业PMI仅为46.3,持续7个月下滑,大幅不及预期,美国衰退风险提高。
消费方面,1月社零同比上升5.4%,消费者信心指数同样下降。出口方面,12月出口同比增速下同比上升3.5%,进口同比13.3%有所好转。
表:美国宏观经济数据跟踪
数据来源:BLOOMBERG,大成基金
欧元区
数据跟踪
欧元区经济持续弱复苏。物价方面,3月份CPI同比6.9%,较上个月的8.5%持续回落。就业方面,2月份欧元区失业率6.6%,基本维持稳定。
工业生产方面,1月份工业产值同比0.9%,同比转正,3月份Markit欧元区制造业PMI有小幅下降到47.1,仍处在荣枯线以下。消费同比负增2.3%,为连续7个月下降。
货币政策方面,欧洲央行持续加息,欧元区央行主要再融资利率3月份升至3.5%,较一月份上升50bp,三个月Euribor利率升高27bp到3.04%。欧元走强,欧元兑美元汇率维持到1.06。
表:欧元区宏观经济数据跟踪
数据来源:BLOOMBERG,大成基金
日本
数据跟踪
工业生产方面,1月份日本工业产值同比-0.6%,跌幅较上个月有小幅收窄。制造业PMI上升到49.2,较上个月有所好转,但仍低于荣枯线。
消费方面,社零数据有持续恢复,2月社零6.6%,高于市场预期5.8%。出口同比增速6.5%,低于市场预期0.5%,2月份出口增速仅为8.3%,低于市场预期4%。
物价方面,3月份东京CPI保持3.3%,基本符合预期。3月份日本央行调高无担保隔夜拆借利率到-0.03%,下调2bp,美元走弱,美元兑日元汇率下降到132.86。
表:日本宏观经济数据跟踪
数据来源:BLOOMBERG,大成基金
未来一个月重点关注
数据来源:WIND,大成基金
宏观
请大家在未来一到两个月保持高度宏观敏感性。中国权益市场主要是两步走,第一步是拉估值、炒预期,第二步是落实到股票的盈利增长,也就是EPS。从客观市场情况上考虑,今年不具备熊市的条件(经济活跃程度,政策转向),但目前来看市场也可能不会是“特别牛”的牛市,牛市的棋手还未出现。
今年权益投资策略:微观有为,重视宏观。去年是宏观大年,只有传统能源和电信行业板块呈正收益。今年可能需要积极把握各个行业的机会。
今年宏观形势分析:宏观整体较去年会有改善,但依然具有不确定性。金融大厦承载了475bp的加息压力,那么它很大概率会有形变,虽然现在情况还整体可控,但是也不排除最坏情况(类比2008年)。信用端的高压风险也不能忽视,尤其是一些美国的中小银行风险。
高利率最直观的影响就是很多金融机构的资产正在流失,港币和美元大额定存利率上升到接近或超过5%,这大大提高了机会成本,原来利率不那么敏感的资金也可能会因此流向银行大额定存。
同时美国的银行的“优质资产”的存量直线下降:美国房贷部分相当大一部分是固定利息制,加息很大程度会给银行带来压力,银行用5%的利息吸引储户,却只能收取3%的房贷利率,这大大增加了银行的风险。
在以往利率低的大环境下,资产证券化能把风险分散出去,但现在利率较高,这类用于传导风险的衍生品如次级债等的市场需求也大幅减弱,风险无法向市场传导,银行的压力陡增。和2008年泡沫资产不同,目前市场上并没有高估的资产,只有高估的债券。
对目前经济形势的判断:目前处于美国经济衰退期、中国经济复苏期,中国宏观是“走一步看一步”,强刺激基本无望,是否能强复苏还需依形势而论。
建议多关注企业盈利数字和年报,寻找企业安全边际,数字在这个时候最有可信度。同时经过12月的经济工作会议和3月的两会中央的充分表态,政策的出台和逐步落地,1-2月统计局的经济数据的已经初步显示效果,3-4月要开始关注政策的执行力度和强弱,当前时间节点是市场选择方向的窗口期。
债市
今年交易逻辑回顾:美国经济和美元市场波段很大,今年1-3月市场共经历了三个阶段,切换了三轮交易逻辑:
1)今年1月(从去年Q4开始):美国经济软着陆,市场认为通胀见顶开始回落,经济放缓而非衰退,当时加息预期还不是特别强。
2)2月-3月初:不着陆,美国经济数据仍较好;看到通胀粘性,联储还是考虑加息加息预期达到稳定点5.5%。
3)3月9日至10日:以硅谷银行和瑞士信贷事件为导火索,硬着陆或衰退危机的逻辑逐渐出现,导致市场避险情绪大幅上升,美债市场大幅波动,出现了近几十年最动荡的市场环境。
目前市场和联储定价存在差异:3月议息会议信号与12月类似,预计今年不会降息,维持1-2次加息不变,点阵图来看2024年可能有100bp降息。
但从美债市场看,市场隐含的降息节奏是:今年不会加息,年内降息2-4次,到2024年再继续降息。如果按照3月点阵图指引,现在市场公允的利率水平(一年期4.8%,两年期4.9%)和市场定价有较大差距,差距约为60-80bps。
未来市场会怎么走:主要看两方面。1)看通胀往下走的斜率和粘性。2)看银行业危机是否继续蔓延,以及不可预测性的金融风险发生的可能性。通胀大趋势可能仍是回落,但是需要关注核心通胀的粘性会多久,金融机构暗雷的不确定性多大,以及监管政策风险。我认为市场最后很可能会回归联储指引。
国内
3月国内两会召开,提出了相对保守的增长目标,低于市场预期,但货币政策和财政政策还是保持了较大的力度,而从1-2月的宏观经济数据看,经济复苏情况比市场预期好,对今年经济增长还是保持信心。
两会中2023年经济目标
GDP:目标5%左右,低于市场预期的5.5%。一是新领导班子上任,定了更加务实保守的目标,考虑到海外经济衰退、供应链恢复带来的出口压力。二是更加注重经济的高质量发展。但目标低于预期不意味实际增速就会低,e.g.2021年目标是6%以上,市场预期8%-9%,实际落在8.1%。
CPI:目标3%左右,符合预期。随着今年能源价格回落,通胀压力不大。
就业:新增就业1200w人,高于2022年的1100w人,完成难度不大,表明政府在疫情后经济恢复中更加注重就业问题。
财政政策:“积极的财政政策要加力提效。”赤字率目标3%,位于2021年(3.2%)和2022年(2.8%)之间,符合预期,对应赤字规模3.88w亿元,比2022年增加5100亿元。专项债额度3.8w亿元,高于2022年的3.65w亿元(但2022年年中增发了5000亿元的专项债额度)。减税降费金额未明确,2022年为2.5w亿元。考虑到2022年工程因资金到位问题,很大一部分实物工作量要延到2023年,今年的财政力度已经不弱。
货币政策:“稳健的货币政策要精准有力。保持广义货币供应量和社会融资规模增速同名义经济增速基本匹配,支持实体经济发展。”提法比较常规,总量宽松、降息降准的预期降低,可能更多采用结构性的货币政策引导流动性。
2023年工作重点
扩大内需。“把恢复和扩大消费摆在优先位置。”在出口承受压力的情况下,挖掘内需会成为稳增长的重要抓手。
建设现代化产业体系。推进关键核心技术公关,在卡脖子领域继续倾斜资源,提升高端化、智能化、绿色化水平,大力发展数字经济,支持平台经济发展。
化解重大经济金融风险。主要是房企信用风险和地方债务风险,都源自地产下行周期。
推进双碳目标。加强重要能源、矿产资源国内勘探开发和增储上产,主要针对过去两年煤价暴涨。同时,加快建设新型能源体系。
1-2月宏观数据公布,除生产外,投资、消费均超预期,尤其是地产复苏。
生产:1-2月工业增加值同比+2.4%,预期3%,前值-9.8%。主要受到去年高基数和今年农民工节后返程实际较晚影响。从高频数据看,节后恢复符合季节性水平。
投资:1-2月固定资产投资同比+5.5%,预期3.3%。制造业、基建保持韧性,分别为8.1%、9%,地产跌幅大幅收窄,从-10.1%升至-5%。
地产各项指标全面转好,大幅好于市场预期。土地市场、交易市场回暖,土地购置费同比从-5%转正至16%,销售面积同比从-25%收窄至-4%,另外二手房的回暖更加显著。开发端明显改善,新开工面积同比从-45%收窄至-9%,施工面积同比从-50%升至-4%,竣工面积同比由-6%升至8%,保交楼政策开始见效。资金也有所改善,房企资金来源同比从-25%升至-15%。
消费:1-2月社零同比+3.5%,预期2.9%,前值-1.8%。餐饮恢复快于商品,餐饮由-14.1%大幅升至9.2%,商品从-2.6%恢复到5%。商品中,中西药品、石油制品、粮油食品维持10+%的高增速,汽车、通讯增速下滑较大,汽车消费主要受相关政策退坡影响。
国内通胀压力不大:2月CPI同比+1%,预期1.8%,前值2.1%,主要受到春节错位因素影响。拖累主要是食品项,尤其是猪肉环比-11.4%,连续4个月环比下降。非食品项主要是油价回落带来能源项下行。
2月PPI同比-1.4%,预期-1.3%,前值0.8%;环比0%,前值-0.4%。PPI仍在探底中,环比跌幅较大的为煤炭和计算机通讯。
海外
美国就业市场保持强劲,通胀仍在高位向下,经济面支持美联储加息,但SVB等银行风险事件的出现,使得美联储需要进一步考虑加息对经济带来的滞后影响,市场的加息预期在银行事件前后发生较大的转变。随后银行风险事件也在欧洲延续,瑞银以30亿瑞郎收购瑞信,减计了160瑞郎的AT1债券,后续演变需要保持关注。
美联储3月议息会议加息25BP
3-23,美联储3月议息会议加息25BP至4.75%-5%,符合市场预期。美联储在银行风险事件出现后,仍选择应对通胀加息。
会议声明相比去年12月的变化
加入对近期银行事件的表述,“美国银行系统保持稳健,但近期变化可能导致加团和企业信贷条件收紧,进而影响经济表现,但现在判断影响程度还为时尚早”。美联储后续货币政策应对会持续观察银行事件的影响并调整。
对加息表述的改变,“预期持续加息是适当”改为一些额外的政策收紧可能是合适的”,表态更加鸽派。点阵图显示,2023年利率中枢仍是5.1%,2024年由4.1%升至4.3%,预示2023H1仍有一次加息,2024年会有3次降息,鲍威尔在会后讲话表示,2023年内降息不是基准情形。
对经济展望的调整,下调了2023、2024年的GDP增速,上调了2023年通胀水平。
2月美国通胀下行符合预期
美国2月CPI同比+6%,前值+6.4%,预期6%;核心CPI同比+5.5%,前值5.6%,预期5.5%。商品项中,随油价下行,能源价格环比-0.6%;二手车价格持续回落,环比-2.8%。服务项中,房租环比+0.7%,仍保持粘性,市场预期在2023H2出现拐点。
2月美国就业市场保持强劲
美国2月新增非农就业31w人,预期22.5w人,前值50w人,继续超预期。新增就业主要来自服务业,包括休闲和酒店业10.5w人、教育和保健服务7.4w人、零售5w人。
失业率3.6%,预期3.4%,前值3.4%,有所上行但仍在低位。时薪同比+4.6%,预期4.7%,前值4.4%;环比+0.2%,预期0.3%,前值0.3%,时薪上涨仍保持粘性。
来自: 大成國際資產管理
更多阅读:










