众所周知,规律的体育运动有利于降低非传染性疾病发病率和过早死亡的风险有关。
WHO 2020版运动和久坐行为指南中建议,成年人每周应至少进行150-300分钟的中等强度有氧运动或至少75-150分钟的高强度有氧运动,或者相当的中等强度和高强度运动结合[1]。
目前越来越多的人在闲暇时进行体育运动以维持健康[2-3]。然而,目前尚不清楚长期较高水平的高强度运动和中等强度运动是否与较低的死亡率相关。
近日,哈佛大学公共卫生学院Dong Hoon Lee团队解答了这一问题,他们发现:每周300-600分钟中强度运动或150-300分钟高强度运动或两者的等效组合,死亡风险最低。这一研究结果发表在著名期刊Circulation上[4]。
所以说,朋友们,要想活得长,咱们运动量还得加强加强啊!
文章封面
既往有研究表明,在总运动量相同的情况下,高强度运动占总运动量的比例较高与全因死亡率较低并不相关[5]。
然而,在一项大型前瞻性研究中,总运动量相同的情况下,较高比例的高强度运动与较低的死亡风险相关[6]。也有研究得出了完全相反的结论,一些在跑步者中进行的研究表明,过量高强度运动对心血管疾病(CVD)存在不良影响[7-9]。这些发现表明,体育运动的健康获益可能因强度和持续时间的差异而不同。
由于这些研究都存在一定局限性,包括研究人群较小,随访时间较短,协变量信息不够详细等。Dong Hoon Lee团队在本研究中纳入了来自NHS(Nurses’ Health Study)和HPFS(Health Professionals Follow-Up Study)两个大型前瞻性队列的共116221名参与者数据。
在30年的随访中,研究人员对参与者自我报告的体育活动进行了超过15次详细重复测量,可以最大限度地减少反向因果关系和个人测量误差,并分析长期不同强度的体育运动与全因死亡和特定原因死亡率之间的关联。
为了量化体育运动的强度,研究团队定义了代谢当量(MET),1MET=1kcal/kg/hour,是一个人的静息坐位代谢水平[10]。运动强度<6METs的体育运动被定义为中等强度运动,包括散步、低强度体育锻炼、举重和健美操等。运动强度≥6METs的体育运动被定义为高强度运动,包括慢跑、跑步、游泳、骑自行车、其他有氧运动、打壁球/壁球或网球、户外工作、爬楼梯等。根据每周不同强度运动时长计算中等强度运动和高强度运动。
总体来看,参与者平均年龄为66岁,平均BMI为26kg/㎡。参与者没有严重的慢性疾病如心血管疾病和癌症等,大多数参与者是白人,63%为女性,在随访期间共报告47596例死亡。高强度运动占比较高的参与者较年轻,高强度运动或中等强度运动较高的参与者更瘦,酒精摄入量和饮食质量评分较高,吸烟率较低。
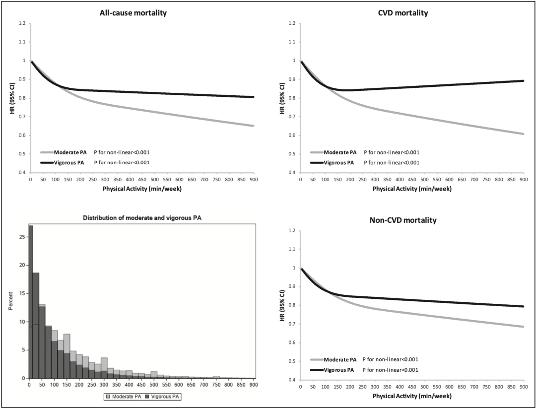
具体来看,与没有长期高强度运动习惯的参与者相比,每周保持75-149分钟高强度运动的参与者全因死亡风险降低19%,CVD死亡风险降低31%,非CVD死亡风险降低15%。
2-4倍于指南建议运动量(高强度运动300-599分钟/周)的参与者死亡风险进一步降低,全因死亡风险降低约21%-23%,CVD死亡风险降低27%-33%,非CVD死亡风险降低19%。不过,更高水平的运动量(高强度运动≥300分钟/周)没有进一步降低死亡风险。
在长期中等强度运动方面,每周保持150-224和225-299分钟中等强度运动的参与者的全因死亡风险分别降低了20%和21%,CVD死亡风险分别降低22%和25%,非CVD死亡风险分别降低19%和20%。
2-4倍于指南建议运动量(中等强度运动300-599分钟/周)的参与者死亡风险进一步降低,全因死亡风险降低26%-31%,CVD死亡风险降低28%-38%,非CVD死亡风险降低25%-27%。
中等强度运动、高强度运动与死亡风险的剂量反应关系
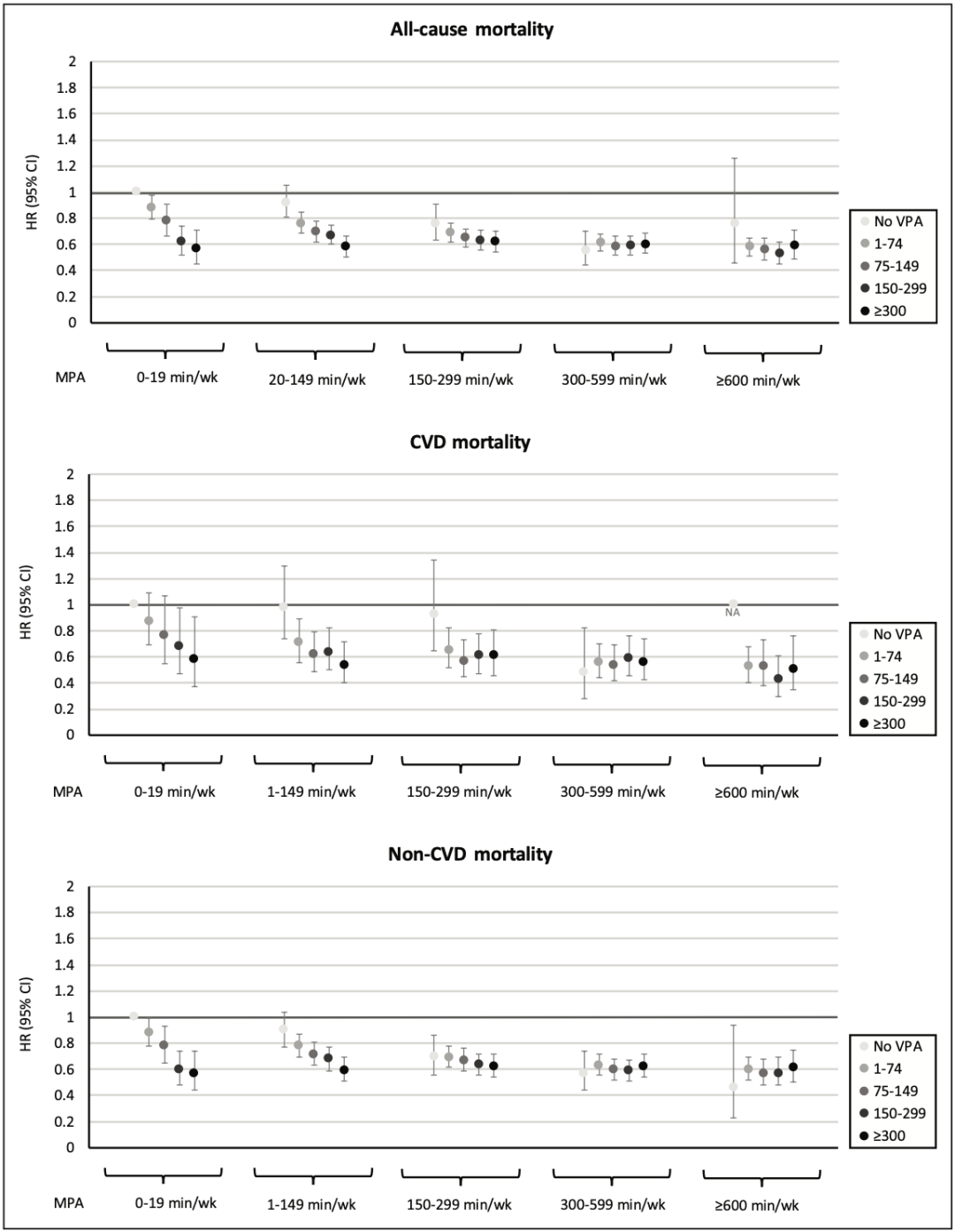
对高强度运动和中等强度运动的联合分析中,研究团队发现在长期中等强度运动不足的人群中,高强度运动与全因死亡和特定原因死亡率之间存在很强的负相关,在长期中等强度运动达标的人群中这一反向关联较弱。
在≥2倍指南建议中等强度运动运动量的人群中,高强度运动与全因死亡和特定原因死亡率之间没有明显的负相关。此外,这种负相关在BMI较低的个体中较明显。
MPA和VPA对降低死亡风险的协同作用
研究团队进一步分析了高强度运动占总运动量的比例对全因死亡和特定原因死亡风险的影响,发现与缺乏高强度运动的参与者相比,有高强度运动的参与者的全因死亡率和因特异死亡风险都较低。然而,高强度运动占比超过25%后,死亡风险未进一步降低。
在运动不足(1-149分钟/周)或刚满足指南建议运动量(150-299分钟/周)的人群中,增加高强度运动比例有利于降低死亡风险。不过,在≥2倍指南建议运动量的参与者中,增加高强度运动比例不会使死亡风险进一步降低。
高强度运动占总运动量的比例与全因死亡风险的关系
另外,对CVD相关事件的分析表明,与没有高强度运动习惯的参与者相比,达到指南推荐高强度运动运动量(75-149分钟/周)的参与者CVD风险降低22%,冠心病风险降低25%,卒中风险降低14%。达到指南推荐中等强度运动运动量(150-299分钟/周)的参与者CVD、冠心病和中风的风险降低5%-11%。2-4倍于指南建议高强度运动或中等强度运动运动量的参与者,心血管疾病和冠心病的风险进一步降低。
总的来说,通过分析两个大型前瞻性队列研究的数据,研究团队发现每周2-4倍于指南推荐运动量,即300-600分钟中强度运动或150-300分钟高强度运动或两者的等效组合,死亡风险最低。
在长期更高水平的高强度运动或中等强度运动人群中并没有观察到全因死亡风险、CVD死亡风险和非CVD死亡风险的进一步降低。此外,对于中等强度运动<300分钟/周的参与者,高强度运动增加与较低的死亡风险相关,在中等强度运动≥300分钟/周的参与者中,高强度运动增加对死亡风险的影响不大。
更多阅读:




