一项研究发现,每周锻炼150-600分钟的成年人的死亡风险最低。根据最近发表在美国心脏协会旗舰同行评审期刊《循环》上的一项研究,每周进行两到四倍于目前推荐水平的中等或剧烈运动的人,死亡风险要低得多。
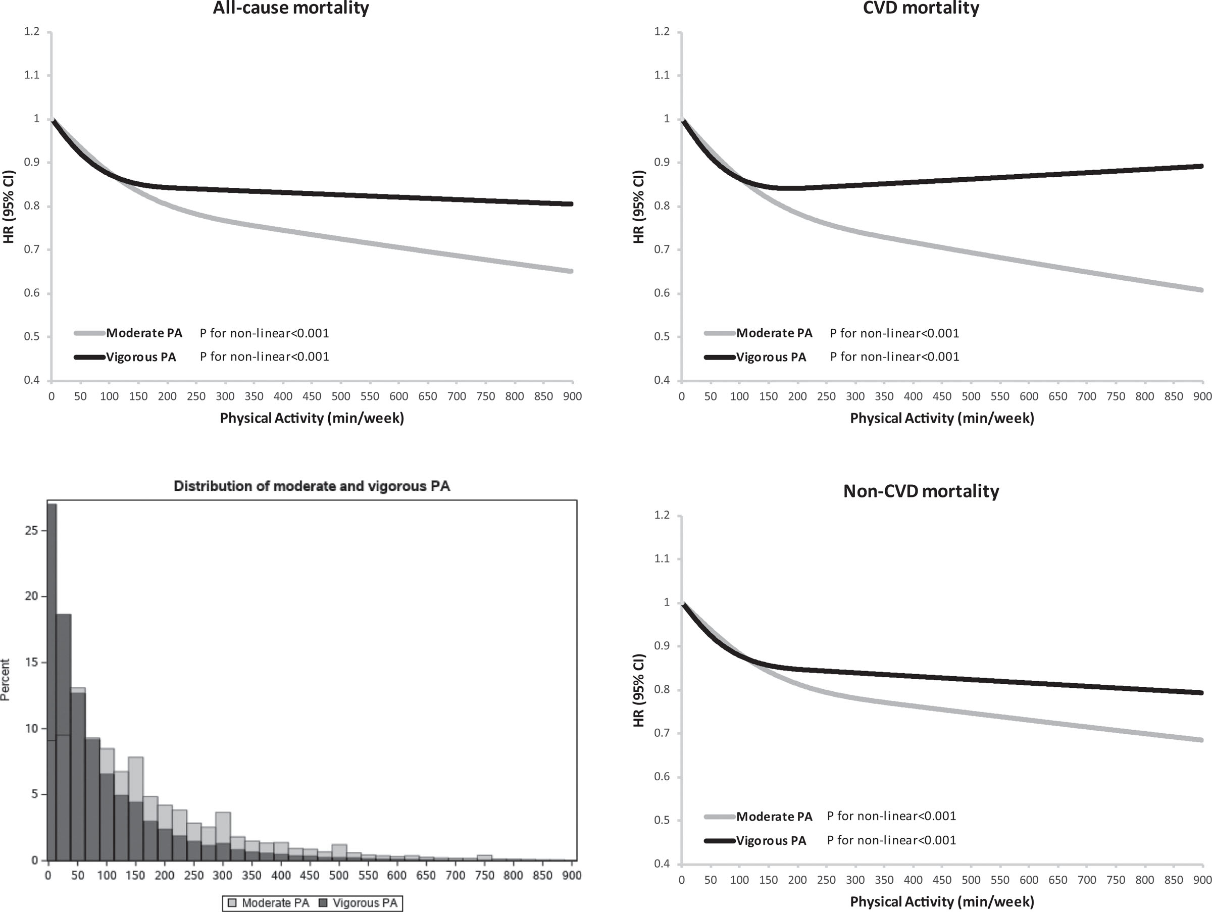
这项研究分析了10万多人在30年的随访期间的情况。 每周参加两到四倍于推荐量的剧烈运动的人,其死亡率下降了21-23%,而从事两到四倍于推荐量的中度运动的人,其死亡率下降了26-31%。
广泛的研究已经将定期体育锻炼与较低的心血管疾病和早期死亡风险联系起来。根据美国卫生与公众服务部2018年发布的《美国人体育活动指南》,成年人每周应至少从事150-300分钟的适度体育活动或75-150分钟的剧烈体育活动,或两种强度的同等组合。

目前,美国心脏协会建议每周至少进行150分钟的中等强度有氧活动,75分钟的剧烈有氧运动,或两者的混合。这些准则是基于HHS的体育活动指南。
波士顿哈佛大学陈氏公共卫生学院营养系副研究员Dong Hoon Lee, Sc.D., M.S.说:”体育活动对健康的潜在影响很大,但仍不清楚从事高于建议水平的长时间、剧烈或中等强度的体育活动是否对心血管健康有任何额外的好处或有害影响。我们的研究利用几十年来对自我报告的体育活动的重复测量来研究中、晚期的长期体育活动与死亡率之间的关系。”
1988年至2018年的全女性护士健康研究和全男性卫生专业人员随访研究为研究人员提供了超过10万名参与者的死亡率数据和医疗记录。数据被分析的参与者中96%以上是白人成年人,63%的参与者是女性。在30年的随访过程中,参与者的平均年龄为66岁,平均身体质量指数(BMI)为26公斤/平方米。
每两年,护士健康研究或卫生专业人员随访研究的参与者完成一份有效的调查问卷,以自我报告他们的业余体育活动水平。每两年,公开的调查问卷被更新和扩大。问卷询问了个人习惯,如吸烟和饮酒,运动频率和家庭病史。
锻炼数据被报告为过去一年中每周用于各种体育活动的平均时间。步行、低强度运动、举重和健美操都被认为是温和的活动。慢跑、跑步、游泳、骑自行车和其他有氧运动被认为是剧烈运动。
分析发现,每周进行两倍于目前推荐范围的适度或剧烈运动的成年人的长期死亡风险最低。
该分析还发现:
符合剧烈运动指南的参与者的心血管疾病死亡风险降低了31%,非心血管疾病死亡风险降低了15%,所有原因导致的死亡风险总体上降低了19%。
符合中度体力活动指南的参与者,观察到的心血管疾病死亡风险降低了22-25%,非心血管疾病死亡风险降低了19-20%,所有原因导致的死亡风险总体降低了20-21%。
参与者的长期剧烈运动量(150-300分钟/周)超过推荐量的2-4倍,观察到的心血管疾病死亡风险降低了27-33%,非心血管疾病死亡风险降低了19%,所有原因导致的死亡风险总体降低了21-23%。
参与者进行了2至4倍于推荐量的适度体力活动(300-600分钟/周),观察到的心血管疾病死亡风险降低了28-38%,非心血管疾病死亡风险降低了25-27%,所有原因导致的死亡风险总体降低了26-31%。
此外,在报告从事四倍于推荐的最低活动量的成年人中没有发现有害的心血管健康影响。以前的研究发现有证据表明,长期高强度的耐力运动,如马拉松、铁人三项和长距离自行车赛可能会增加不良心血管事件的风险,包括心肌纤维化、冠状动脉钙化、心房颤动和心脏猝死。
这一发现可能会减少人们对以前几项研究中观察到的从事高水平体育活动的潜在有害影响的担忧。
然而,长期从事高强度的体育活动(≥300分钟/周)或中等强度的体育活动(≥600分钟/周),其水平超过每周推荐的最低限度的四倍,并没有提供任何额外的死亡风险减少。
“我们的研究提供了证据,指导个人在其一生中选择正确的体育活动量和强度,以保持他们的整体健康,”Li说。”我们的研究结果支持目前的国家体育活动指南,并进一步表明,通过进行中度或高度的中度或剧烈活动或组合,可以获得最大的好处”。
他还指出,每周进行不到75分钟剧烈活动或不到150分钟中度活动的人,如果长期坚持每周进行大约75-150分钟的剧烈活动或150-300分钟的中度运动,或两者的同等组合,可能对降低死亡率有更大的好处。
美国心脏协会前任主席(2012-2013年)、肯塔基州列克星敦市肯塔基大学公共卫生学院院长和流行病学系教授Donna K. Arnett说:”我们早就知道,适度和高强度的体育锻炼可以减少一个人患动脉粥样硬化性心血管疾病和死亡的风险。”他担任美国心脏协会2019年心血管疾病初级预防指南编写委员会的联合主席,然而她没有参与这项研究。”我们还看到,每周进行300分钟以上的中等强度有氧运动或150分钟以上的剧烈有氧运动可能会进一步降低一个人患动脉粥样硬化性心血管疾病的风险,因此,获得这些额外的运动时间也可能降低死亡率是有意义的。”
自 cnBeta.COM
更多阅读:
