目前人口迅速老龄化是全球都在面临的重大挑战,人口年龄结构的改变与个人、社会、医疗和经济息息相关。有研究表明,新冠肺炎的大流行可能加剧人口衰老,其表现之一就是大脑的衰退,而大脑的加速衰退可能预示着阿尔茨海默病和其他痴呆症。随着老龄化人口增多,对于改善老年人记忆功能的研究越来越受到关注。
之前的研究确定了人的记忆分为两大类:工作记忆和长期记忆。工作记忆的容量有限,用于短期信息的存储;长期记忆的容量不受限,用于信息的长期储存与持续维护。研究表明这种双存储记忆模式的缺陷与年龄、解剖部位、脑电波节律性机制等有关。
脑电波是脑神经元产生的电信号,它的频率范围是0.5 Hz-100 Hz,根据脑电波的不同频率划分为不同的波段,常见的有δ波(0.5-3Hz)、θ波(4-7Hz)、α波(8-13Hz)、β波(14-30Hz)、γ波(>30Hz)等,不同的脑电波对应不同的生理功能。
研究发现脑部θ波和γ波频率范围内的节律性活动对工作记忆和长期记忆功能有影响,如果能够在大脑的不同区域识别出独特的脑电波节律机制,那么可以使用诸如高清晰度经颅交流电刺激(HD-TAC)等技术来实现独立地、非侵入性地操纵这些大脑节律,以选择性地改善老年人的记忆功能。
近日,美国波士顿大学生理与脑科学研究所Shrey Grover教授团队,在65-80岁的人群研究中发现调节大脑特定功能的节律可选择性和可持续地改善老年人的记忆功能。相关研究发表于《自然》子刊上。
该团队进行了一项随机双盲研究,由3个实验组成,包括两个针对老年人记忆功能的假对照实验和一个验证重复性的实验。
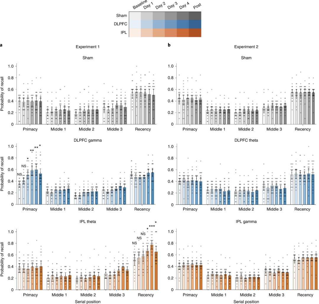
研究人员首先将60名参与者随机分为3组(Sham组、DLPFC Gamma组和IPL theta组),对不同组给予不同的经颅交流电刺激,连续4天,每天20分钟,每天对参与者进行5次测评。测评内容包括任务记忆、认知功能等。
测试结果发现在干预后第3天、第4天和1个月时,脑部顶叶皮质的同步低频活动优先改善工作记忆;在干预后2~4天和1个月时,前额叶皮质的同步高频活动调制优先改善长期记忆。此外,研究发现不同部位的脑电波频率改善也对记忆功能产生影响,例如在顶下小叶中调制θ频率会改善听觉–言语的工作记忆功能,而在背外侧前额叶皮质中调制γ频率会改善老年人的听觉–言语的长期记忆功能。
空间频谱可分离的神经调节可选择性、可持续地改善记忆
为了证实脑部的位置特异性和频率特异性,该团队切换了这两个区域的调制频率,以检查顶下小叶中的γ频率和背外侧前额叶皮质中的θ频率对记忆功能的影响。
实验结果表明,在两个区域之间切换调制频率不会产生任何好处。因此,解剖位置和脑电波频率的结合才决定了记忆的改善。此外,也验证了认知功能较差的人,他们的记忆功能得到了更大的改善。
模型引导的高清晰度神经调节
随后该团队为了验证以上测试结果的可重复性,选择新入组的30个参与者,分为两组(DLPFC gamma and IPL theta),分别检测背外侧前额叶皮质中的γ频率和顶下小叶中的θ频率的影响,并且只接受连续三天的神经调节,其测试内容同前,结果测试结论显示一致。此外进一步发现,在干预过程中记忆功能改善的速度预测了干预后1个月的记忆强度,从而在未来的研究中产生了一个衡量治疗反应性的重要指标。
三次实验中不同神经调节组的人口学特征
综上所述,该团队通过这三个实验发现:经过4天的经颅交流电干预后,老年人的记忆功能可以改善至少1个月。因此,调节大脑特定功能区域的频率可以有效地、可持续性地改善老年人的记忆功能。
参考文献:
[1] Grover, S., Wen, W., Viswanathan, V. et al. Long-lasting, dissociable improvements in working memory and long-term memory in older adults with repetitive neuromodulation. Nat Neurosci (2022)
[2] Søraas A, Bø R, Kalleberg KT, Støer NC, Ellingjord-Dale M, Landrø NI. Self-reported Memory Problems 8 Months After COVID-19 Infection. JAMA Netw Open( 2021 )
来自:
更多阅读:




