电子游戏并没有伤害人们的心理健康,也没有帮助。事实上,根据一项针对数万名游戏玩家的新研究,它们根本没有起到什么作用。

多年来,政策制定者和公共卫生机构已经对电子游戏可能会成瘾或损害心理健康表示担忧。这项发表在《皇家学会开放科学》杂志上的研究,对电子游戏和幸福感之间的关系提供了一个更全面的观察。它建立在同一团队以前的研究基础上,该研究也没有发现对心理健康的不良影响。
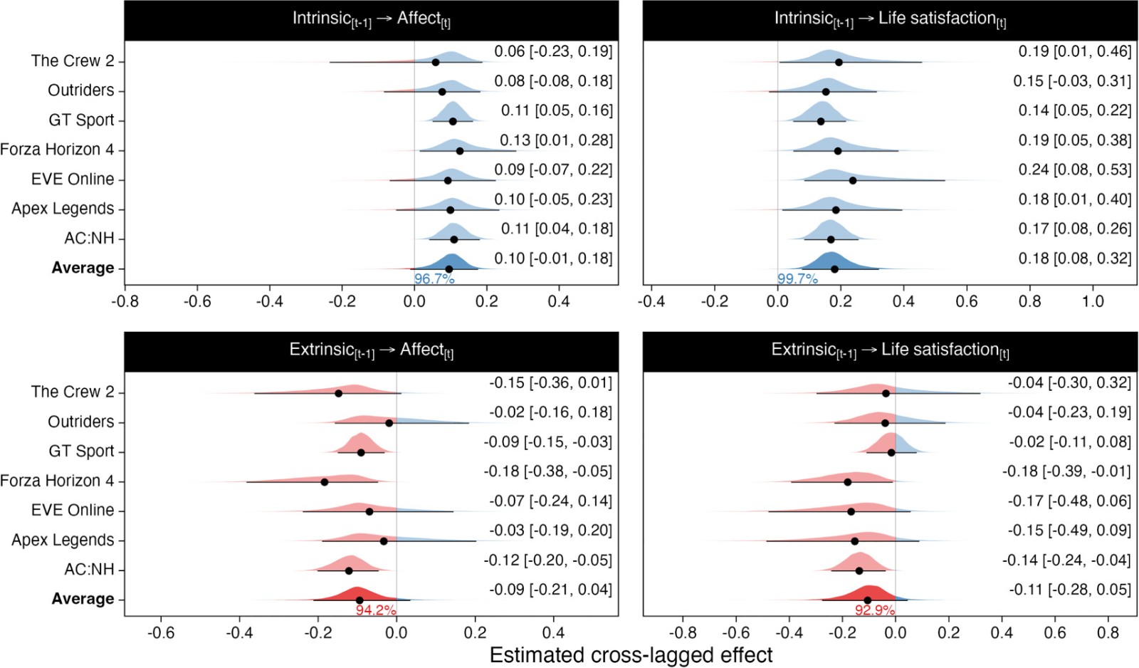
该研究小组与视频游戏发行商合作,招募了近39000名玩过七种游戏之一的人,包括《集合啦!动物森友会》、《Apex英雄》、 《星战前夜》、《极限竞速:地平线4》、《Gran Turismo Sport》和《飙酷车神2》等。游戏发行商为参与者提供了六周的游戏数据,而研究人员对参与者进行了三次调查。
由于研究小组能够检查玩家的游戏数据,他们不必依赖玩家自我报告他们玩游戏的时间,因此研究小组能够更准确地了解游戏时间。该研究使用两种工具测量幸福感:积极和消极体验量表,要求人们对他们经历”快乐”和”恐惧”等感觉的频率进行排名;以及坎特里尔自我定位量表,要求人们说出他们在梯子上的位置,顶端代表他们可能的最佳生活。

该研究还要求人们参加”玩家需求满足体验”调查,该调查跟踪人们对特定游戏的体验–跟踪他们对自主性的看法和他们玩游戏的动机等情况。
分析发现,花更多或更少的时间玩游戏并没有对人们的感受产生消极或积极影响。相反,人们的感觉对人们花多少时间玩游戏并没有重大影响。
作者说,研究中出现的视频游戏在歪曲幸福方面的任何作用都太小了,不足以对人们的感受产生现实世界的影响。研究发现,人们必须每天比基线多玩10个小时的游戏才能注意到他们的幸福感的变化。
不过,该研究确实发现了一些证据,即人们玩游戏的动机和他们玩游戏的经历对幸福感有稍大的影响。当人们因为想要玩游戏时,他们的幸福感比人们因为感到被迫而玩游戏时要好。尽管如此,这些关系仍然很小,而且目前还不清楚这些动机是否会对玩家产生明显的影响。
研究作者指出,关于视频游戏影响人们的感觉和行为的方式,仍有更多的东西需要学习。这项分析只看了市场上成千上万的游戏中的一小部分。研究人员仍然需要仔细研究玩游戏的动机和游戏的质量会如何改变人们的体验。他们还需要弄清楚某些人是否具有使他们更容易或更不容易受到幸福感转变的特点。
研究报告的作者、牛津大学互联网研究所高级研究员Andrew Przybylski在一份声明中说:“我们知道我们需要来自更多平台的更多玩家数据,以发展为政策提供信息并形成对父母和医疗专业人士的建议所需的那种更深入的理解。”
自 cnBeta.COM
更多阅读:
