一项新的、由10个国家研究人员进行的分析发现,在生命的不同阶段,男性和女性在各种日常活动上花费的时间存在国家间的差异。西班牙贝拉泰拉人口研究中心的Joan García Román和爱尔兰都柏林圣三一大学的Pablo Gracia于2022年3月9日在《PLOS ONE》这本开放获取的杂志上介绍了这些发现。

尽管取得了进展,但在时间使用方面仍然存在性别不平等,女性更积极地从事家务劳动,男性更积极地从事有偿工作。先前的研究特别阐明了为人父母是如何放大这些差异的。然而,目前还不清楚不同的文化背景会如何影响从童年到成年后的时间使用方面的性别差异。
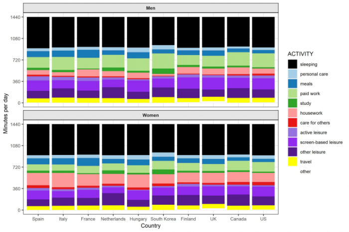
为了提供新的见解,García Román和Gracia分析了来自多国时间使用研究的数据,在该研究中,参与者在日记中跟踪他们的日常时间使用情况。时间日记数据包括来自
亚洲、欧洲和北美10个国家的20多万名参与者从2005年到2015年记录的条目。
统计分析发现,在所有10个国家中,男性和女性在时间使用方面的最大差异是在家务劳动、护理工作和就业活动领域。韩国、匈牙利、意大利和西班牙的差距最大,而其他西欧国家的差距适中,芬兰和盎格鲁-撒克逊国家,如英国、美国和加拿大的差距最小。
在所有10个国家中,花在家务和护理工作上的时间的性别差距从青春期到成年都在扩大,最大的差距从30岁到44岁持续存在,但在65岁以后缩小了。这种模式在意大利和韩国最为明显,而在加拿大和芬兰则不太明显。从30岁到64岁,用于就业活动的时间差距最大;这种模式在荷兰最明显,在美国不太突出。
这些发现表明,国家背景影响了在整个生命过程中时间使用的性别差距可能出现和减弱的确切方式。这些发现以及该领域的未来研究可以帮助为具体国家的努力提供信息,以消除个人健康和福祉成果的重要活动中的性别差距。
作者补充说:“我们的研究表明,年龄和性别在影响时间使用模式方面有很大的交集,而且国家背景在时间使用分配中的性别-年龄互动方面也发挥着重要作用。”
自 cnBeta.COM
更多阅读:
