英国物理学家及阿斯顿大学客座教授Robert Matthews用理论解释了这一现象的发生。
Matthews教授在研究报告指出,人们在手拿智能电话通常不会握得很紧,用户的手指在手机重心下方,这样一来很容易导致手机跌落,一旦手机跌落,作用在手机上的各种力决定了手机旋转的速度。
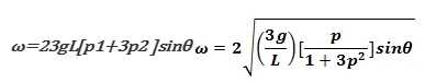
作用在手机上的力可以通过一个公式表示:
在公式中。“L”代表的是智能手机的长度,g是重力加速度,P =2δ/ L代表的是“悬置参数”,δ是悬置距离,和θ是智能手机开始摔落时的角度。
这在实践中意味着一台手机无法在和手机失去接触后获得足够快的旋转速度使其能在落地时屏幕向上。
Matthews教授表示,“人们可能会认为手机屏幕朝下摔破只是他们运气不佳,不过其实是物理现象导致屏幕朝下的可能性增大。似乎我们经历的风险体现了墨菲定律:‘凡事只要有可能出错,那就一定会出错’。”
更多阅读:


