一项新的研究发现,与普通浓度的啤酒相比,低度和无醇啤酒可能成为大肠杆菌和沙门氏菌等食源性病原体的温床,这些病原体可能在生产、储存或倾倒过程中被引入。在健康文化兴起的推动下,全球饮料行业出现了生产低酒精和无酒精饮料(包括啤酒)的转变趋势。在美国、英国和澳大利亚,如果啤酒的酒精含量低于 0.5%(ABV),酿酒师就可以将其标注为”无酒精”啤酒。
饮用不含酒精或酒精含量低的啤酒有明显的好处;它含有维生素和矿物质,而且研究表明,与普通啤酒相比,它对心血管有益。然而,康奈尔大学研究人员的一项新研究发现,去除啤酒中的酒精可能会为制造、储存或倾倒过程中引入的食源性病原体的生长创造一个完美的环境。
该研究的合著者之一兰迪-沃罗博说:”当你去除酒精后,啤酒就不再是传统意义上的啤酒了。之前怀疑食源性病原体在没有酒精的情况下也能生长,我们的猜测是正确的。在这一点上,必须像考虑食品一样考虑无醇啤酒,并确保满足保证产品安全的所有参数。”
传统啤酒中含有多种防止病原体生长的因素。乙醇浓度、啤酒花产生的苦味酸、低 pH 值、高浓度二氧化碳、低氧和缺乏营养物质都有助于保持啤酒不含病原体。
这项研究的另一位作者安-查尔斯-维格达尔(Ann Charles-Vegdahl)说:”无醇啤酒的手工制造商有时会遵循传统的啤酒酿造工艺。但最终,酿酒师会在无醇啤酒中添加额外的调味和香味物质–如啤酒花,这有可能会带来污染。”
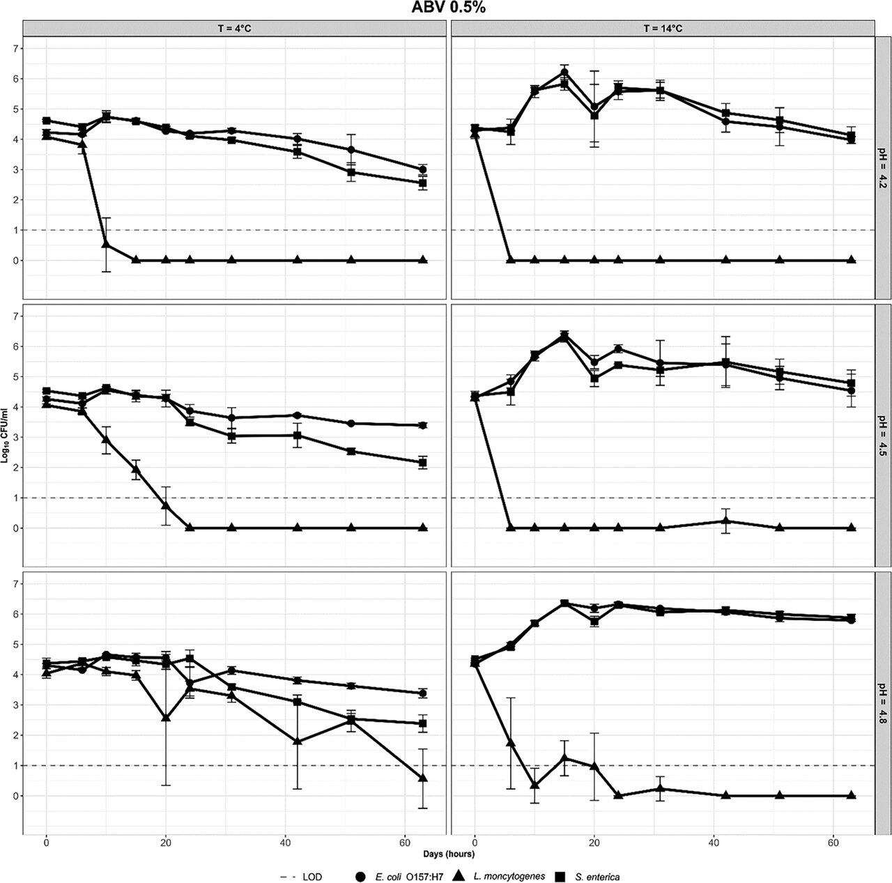
研究人员采集了酒精度低于 0.5%(无酒精)或 3.2%(低酒精)的啤酒样本,并添加了三种食源性细菌病原体: 大肠杆菌、沙门氏菌和李斯特菌。制备了三种不同 pH 值(4.20、4.50 和 4.80)的啤酒,并在两种不同的温度(39 °F(4 °C)和 57 °F(14 °C))下存放了两个月。
大肠杆菌和沙门氏菌在这两种温度下的啤酒中都能生长和存活,与 pH 值以及啤酒的低度或无醇无关。在 57 °F 温度下储存时,在所有测试的 pH 值条件下,这两种细菌的数量都增加了一倍。两种温度下都检测不到李斯特菌。

根据他们的研究结果,研究人员建议对低度和无醇啤酒进行巴氏杀菌,以达到商业无菌标准,并考虑进行无菌过滤和添加防腐剂,以降低微生物风险。此外,他们还说,用桶装或桶装的生啤供应无酒精啤酒可能会增加病原体的风险,并建议定期对桶、管道和啤酒龙头进行消毒。
Worobo 说:”如果啤酒中不含酒精,就会失去很多防止食源性病原体的安全网。没有了酒精提供的保护,制造商必须考虑到病原体在加工过程中如何从原料产品中趁虚而入”。
这项研究发表在《食品保护杂志》上。
自 cnBeta
更多阅读:
