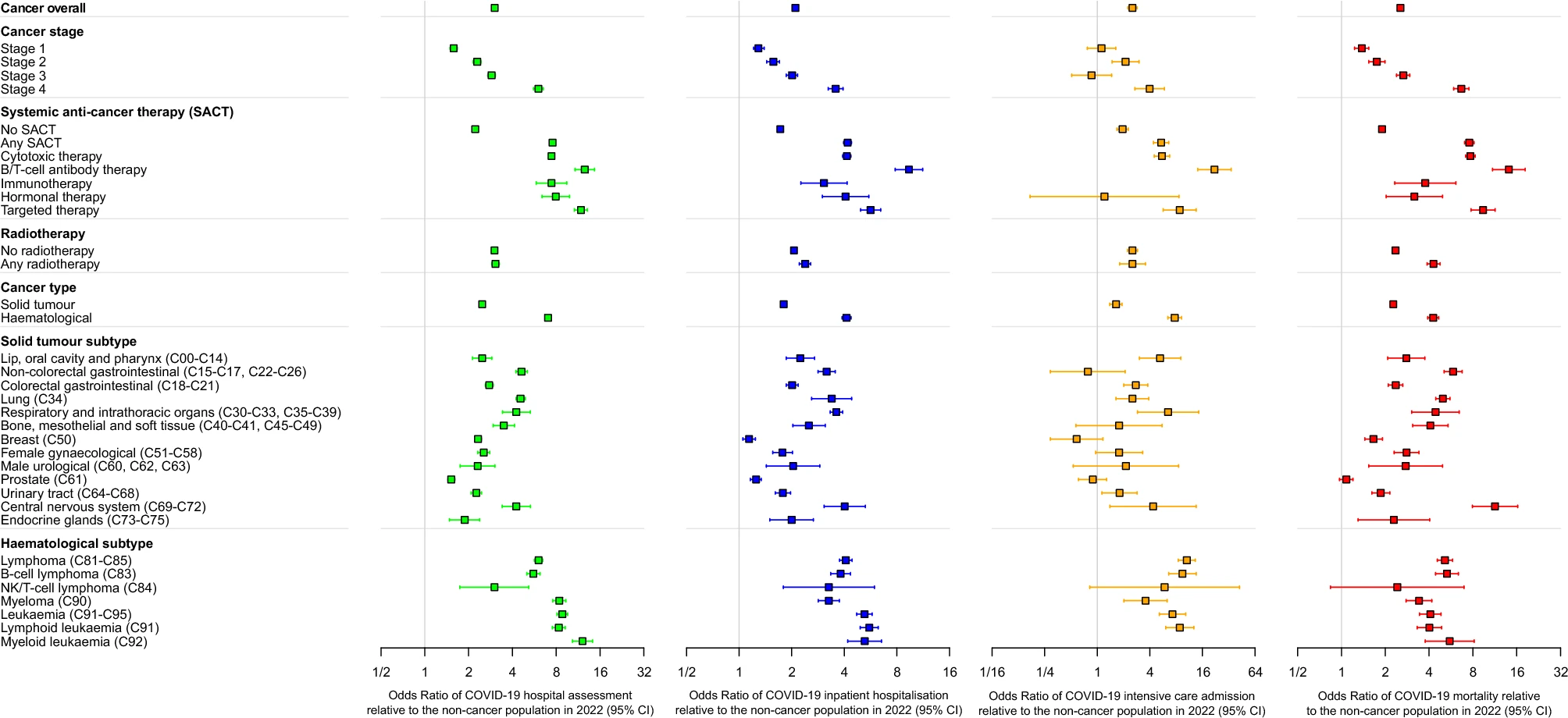
在第一项同类全景研究中,COVID-19 疫苗推出后,癌症患者与 COVID 相关的住院率和死亡率大幅下降。这项研究近日发表在《科学报告》(Scientific Reports)杂志上,研究考察了全球大流行对2020年11月至2022年8月21个月期间癌症患者病例发生率的影响。
伯明翰大学领导的研究小组发现,在此期间,住院率从近三分之一的患者(30.58%)下降到十三分之一的患者(7.45%);病例死亡率从五分之一以上的患者(20.53%)下降到不到三十分之一的患者(3.25%)。

研究还发现,在癌症患者中,年龄比癌症类型更能预测死亡率。2022 年,80 岁以上患者的病例死亡率超过十分之一(10.32%),而 80 岁以下患者的病例死亡率不到 35 分之一(2.83%)。
与普通人群相比,COVID-19 感染使癌症患者在研究期结束时住院(2.1 倍)或不幸死亡(2.54 倍)的可能性增加了一倍多。
伯明翰大学癌症与基因组科学研究所的伦纳德-李博士是这项研究的主要作者,他说:”癌症患者担心,他们的身体会被病毒感染,更担心他们已经被遗忘。我们的工作表明,英国正在走出全球大流行病的隧道,我们知道哪些人仍然面临感染 COVID-19 后果的最大风险,这样他们就不会被遗忘。这一数据对癌症患者来说无疑是个好消息,但尽管在我们研究的这几年中住院率和死亡率显著下降,我们仍然可以看到额外的风险。”
伯明翰大学的博士研究员、该研究的第一作者托马斯-斯塔基(Thomas Starkey)说:
“通过整理和分析电子医疗保健数据来评估全球大流行病在英国的实际影响,我们现在可以利用人群规模的数据来保护癌症患者免受 COVID-19 等传染病的侵袭。”
自 cnBeta
更多阅读:
