运动锻炼有助于降低人体发生癌症的几率,而在癌症患者群体中,运动锻炼还能提升抗癌治疗的疗效,从而促进患者的总体健康状况,改善癌症预后。
芬兰图尔库大学的 Tiia Koivula 助理教授表示,“曾经人们认为,癌症患者治疗后应该一直休息,而不是运动。但现在,越来越多的证据表明,运动锻炼对癌症患者有益,尽管这其中的详细机制还未完全明确。” Koivula 教授长期致力于研究运动锻炼对癌症患者的作用,并试图阐明其作用机制。
近日,Koivula教授领导的研究团队分别以 “Acute exercise mobilizes CD8+ cytotoxic T cells and NK cells in lymphoma patients” 和 “The effect of acute exercise on circulating immune cells in newly diagnosed breast cancer patients” 为题,于 Frontiers in Physiology 和 Scientific Reports 期刊上连续发文,报道了其对运动在淋巴癌和乳腺癌患者中促进白细胞移动(mobilization)的研究成果。[1,2]


淋巴癌和乳腺癌
淋巴癌是人体淋巴系统的一类癌症,可被分为霍奇金淋巴癌(瘤)和非霍奇金淋巴癌(瘤)。2020 年,全球范围内约有 63 万人被诊断为淋巴癌,有 28 万人死亡。[3] 乳腺癌是女性最常见的癌症,2020 年全球范围内发病数约为 226 万例,死亡例数超过 68 万例。[3]
已有不同的证据证实运动锻炼对癌症治疗有帮助。如 Holick 等报道每周的中等强度锻炼可减少 15% 乳腺癌患者的死亡率。[4] 在细胞水平上,运动锻炼可抑制癌细胞的生长和转移。[5] 免疫调控可能是这种抑癌效果的机制之一。
10 分钟的运动
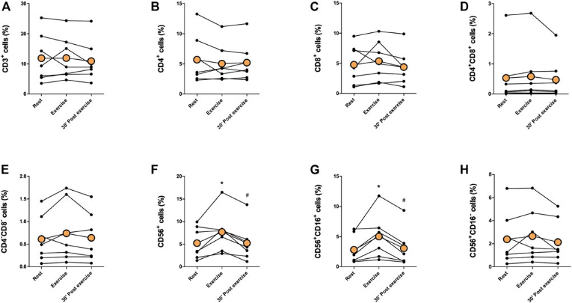
7 例淋巴癌患者和 20 例乳腺癌患者参与了研究,患者平均年龄分别为 51±21 岁和 58±11 岁。研究者安排患者进行一次急性运动,即 10 分钟的脚踏车运动,在运动前、运动即结束和运动结束后 30 分钟分别采集血液样本,分析比较其中白细胞的数量与比例。心率、血压等指标也在运动前后分别测量。
实验中,每位患者的运动强度不完全一致,而是根据患者的自身情况,设定为 10 分钟的运动不致引起其虚弱(fatigue)的最大强度,且运动过程中患者的心率保持在 100 次/分钟(bpm)以上。
运动可提升血液中的白细胞数量
在淋巴癌患者中,自然杀伤细胞(NK 细胞)和 CD8+ T 细胞在总体白细胞中的比例运动即结束时较运动前显著升高,而 CD4+ T 细胞的比例则有下降。在乳腺癌患者中,运动即结束时较运动前总体白细胞数量上升,其中包括了 CD8+ T 细胞、CD19+ B 细胞、NK 细胞和单核细胞的数量上升。白细胞数量和比例的变化在两组患者中都是瞬时的,即运动后 30 分钟再观察,可以发现其均恢复到运动前的水平。
Koivula 教授表示,“这种运动引起的白细胞水平变化,特别是细胞杀伤白细胞的水平的变化,是我们特别关注的。因为这些白细胞是具有潜在杀伤癌细胞的能力的。”
研究表明,白细胞水平变化或与运动的强度相关。在淋巴癌患者和乳腺癌患者中,患者达到的最大心率分别为 109±21 bpm 和 114±17 bpm,这达到了根据年龄预测的最大心率的 65%±13% 和 70%±10%。针对乳腺癌的每例患者分别进行分析,研究者发现白细胞水平与心率在根据年龄预测的最大心率的比例呈正相关;而两组患者的数据均表明,白细胞水平与患者运动时的血压水平呈正相关。
该研究首次揭示了在癌症患者,中等程度的运动,如 10 分钟的单次运动,即可促进白细胞从储存器官中被调动出来,进入循环系统。这对抗癌或有积极作用。该研究也进一步证实了更大的运动强度有更好的促进效果这一已知结论。


图二. 不同白细胞的流式结果 doi: 10.1038/s41598-023-33432-4
展望:运动后白细胞会进入肿瘤、杀伤肿瘤吗?
该研究仅展示了患者个体水平上运动锻炼对白细胞水平的影响。而白细胞从何处被调动,进入循环系统、白细胞又会迁移向何处等问题,仍有待解答。
Koivula 教授认为,“我们需要更多的研究来确认这些移动的白细胞是否可以进入肿瘤,以及是否会杀伤肿瘤细胞。我们在临床前研究中发现了一些证据,但在人类患者中的研究则还在进行中。” 显然,阐明该问题,是对我们最终理解运动锻炼对于癌症患者白细胞的影响的至关重要的一步。
参考文献
1. Koivula T, Lempiäinen S, Rinne P, Hollmén M, Sundberg CJ, Rundqvist H, Minn H, Heinonen I. Acute exercise mobilizes CD8+ cytotoxic T cells and NK cells in lymphoma patients. Frontiers in Physiology. 2023 Jan 11;13:2789.
2. Koivula T, Lempiäinen S, Rinne P, Rannikko JH, Hollmén M, Sundberg CJ, Rundqvist H, Minn H, Heinonen I. The effect of acute exercise on circulating immune cells in newly diagnosed breast cancer patients. Scientific Reports. 2023 Apr 21;13(1):6561.
3. The Global Cancer Observatory, World Health Organization (2020). Non-Hodgkin lymphoma fact sheet. Available at: https://gco.iarc.fr/today/data/factsheets/cancers/34-Non-hodgkin-lymphoma-fact-sheet.pdf.
4. Holick, C. N. et al. Physical activity and survival after diagnosis of invasive breast cancer. Cancer Epidemiol. Biomark. Prev. 17(2), 379–386. https://doi-org.libproxy1.nus.edu.sg/10.1158/1055-9965.EPI-07-0771 (2008).
5. Pedersen L., Idorn M., Olofsson G. H., Lauenborg B., Nookaew I., Hansen R. H., et al. (2016). Voluntary running suppresses tumor growth through epinephrine- and IL-6-dependent NK cell mobilization and redistribution. Cell Metab. 23 (3), 554–562. doi:10.1016/j.cmet.2016.01.011
来自: 生物谷
更多阅读:
