无论是学生还是白领,一天里除了睡觉可能绝大部分的时间都是在凳子上度过的,坐着的时间往往可以长达十多个小时。加上特殊时期的“居家办公、减少公共场所活动”等号召,宅家久坐的人恐怕是只增不减。虽然有人体工学椅、按摩座椅帮忙缓解,但还是很难抵消久坐造成的巨大危害。
颈椎酸痛、消化不良、头晕眼花、腰腹变胖……这些都是久坐会引起的症状。许多科普文章也分享过久坐会增加慢性疾病、死亡风险,甚至久坐危害比吸烟还要大。也许大部分人已经知道久坐伤身了,但是却怎么都迈不开腿。这其实也许并不是因为你懒,而是缺乏一位爱运动的朋友。
这就有点像“近朱者赤,近墨者黑”,当我们周围的环境都是久坐人群,也许我们会不自觉地养成久坐习惯而不会发现有什么特别。如果周围有爱运动的朋友,放学后或下班后会抽空约着打球或游泳,自然就会融入运动的圈子。那么这些猜想有没有科学依据呢?
近日,来自美国多所高校的科学家在PLOS ONE杂志上发表了题为Social influences on physical activity for establishing criteria leading to exercise persistence的研究论文。研究人员新开发了一个数学模型,用于研究社交因素对体育活动的影响,并发现久坐的人与适度运动的人互动会受到影响并变得更活跃。

研究人员通过一个微分方程系统来模拟社交对人群运动持久性的影响,并将美国军事学院(United States Military Academy)的数据用于支持该模型。此模型允许状态变量之间的流动自发发生或受到社交互动的影响,下图描述了变量之间的流动和转化。为了克服社交影响参数难以获得这一困难,研究人员根据美国军事学院的体能表现数据(Army Physical Fitness Test,APFT)选择了一系列理论值。

图注:描述状态变量总体之间模型转换的图示。一个方框表示一个compartment。R0表示基本再生数。
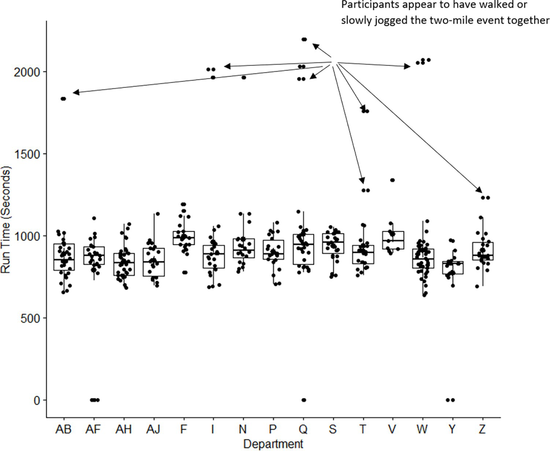
从APFT数据来看,跑步较慢的参与者往往两两出现(如下图)。排除两人的身体素质一模一样,这种两两成群的现象极有可能是他们共同做出的社交决定。除了观察现实中的真实数据外。研究人员又通过数学模型对人群的运动持久性进行了预测,并通过三种极端情况模拟出活跃人群持续存在的条件。

图注:按部门展示的两英里赛跑项目时间分布方框图。
情况一:Compartment之间只有自发的运动,即不存在锻炼或久坐的社交影响。R0=0<1,运动人群将减少,久坐人群将增加(如下图B)。
情况二:久坐和极度活跃的个体之间没有社交互动,也没有从活跃compartment到久坐compartment的自发运动。这种情况下既有可能R0<1,也可能R0>1。
情况三:久坐和极度活跃的个体之间没有社交互动,也没有从极度活跃到久坐的自发运动,R0>1。

图注:通过模型考察活跃人群持续存在的条件。R0>1(A.坚持锻炼),R0<1(B.坚持久坐行为)。
为进行模型的敏感性分析,研究人员将久坐个体、中度活跃个体、极度活跃个体的初始数量平均分配,各占三分之一。随着时间的推移,久坐的人与中度活跃的人社交互动增加,导致久坐人群过渡到中度活跃人群,久坐人群减少13~16%。当社交互动增加吸引锻炼者久坐不动时,则会引起相反的结果,久坐人群增加21%。中度活跃的个体和极度活跃的个体之间的社交互动不会影响久坐人群。
通过现实数据和模型模拟,我们不难发现社交互动对于习惯性运动的保持格外重要。例如,假设一个久坐的人没有与活跃人群有任何社交互动,他(她)可能会一直保持久坐状态。而如果他(她)与活跃人群产生互动,则极有可能转变为活跃。对于活跃人群,假设发生意外或工作原因而导致不得不久坐,如果没有积极的干预或社交互动,他们就非常容易养成久坐习惯。
不过反过来看,如果活跃人群与久坐人群互动,并且有非常明显的吸引活跃人群久坐不动的因素,那么活跃人群也是有可能变为久坐人群的,所以如何避免这种情况的出现也是值得研究的。将活跃人群分为极度活跃和中度活跃,我们会发现极度活跃人群相比于中度活跃人群更不易受到社交互动的影响。这意味着干预工作应放在适度活跃和久坐的人群身上。
综上所述,适度活跃的个体与久坐人群之间的社交互动应该往吸引运动而非吸引久坐的方向上引导。研究社交互动的影响,是为了更好地指导健康的人群习惯,这些发现可用于设计和实施社区锻炼计划,从而吸引大部分人群长期坚持锻炼。那么就个体来说,最直接的方式当然就是和爱运动的人交朋友啦!
参考来源:
1.《久坐对身体的伤害远比想象中大!柳叶刀子刊:每天久坐6小时,增加12种慢性疾病风险》梅斯医学2022-06-05
2.Mema E, Spain ES, Martin CK, Hill JO, Sayer RD, McInvale HD, et al. (2022) Social influences on physical activity for establishing criteria leading to exercise persistence. PLoS ONE 17(10): e0274259.
更多阅读:
