上午咖啡下午茶,构成很多打工人的一天。相比于奶茶、果汁、含糖饮料等,咖啡和茶这两种较为健康的饮品成了大众的优选。
咖啡和茶是全世界消费最广泛的饮料之二。咖啡含咖啡因,是抗氧化剂和生物活性化合物的丰富来源 。而含有咖啡因、儿茶素多酚和黄酮类化合物的茶,具有神经保护作用,如抗氧化应激、抗炎症、抗凋亡等。
图源:网络
此前很多研究单一性地针对咖啡或者茶,探究两者单独的健康效应。比如,流行病学和临床研究发现,咖啡和茶分别对预防痴呆症有益,却鲜有研究讨论两者的联合作用。
事实上,咖啡与茶叶的消费密切相关,大约有70%的人同时引用咖啡和茶。那么两者一起饮用,究竟是强强联合还是正正得负了呢?
来自天津医科大学的团队就“咖啡+茶”的联合效应进行研究,结果显示咖啡和茶不管是单独饮用还是一起饮用都具有降低中风、痴呆风险的作用,每日饮用2-3杯咖啡+2-3杯茶可以降低32%的中风风险和28%的痴呆风险。该研究发表在PLOS Medicine上。
图源:PLOS Medicine
本项前瞻性队列研究包括来自英国生物银行(UK Biobank)的365,682名参与者,研究学者对参与者进行了长达10-14年的随访。在36.5万名参与者中,男性占45.7%,年龄涵盖50到74岁,平均60.4±5.1岁。
在中位时间为11.35年的随访过程中,有10,051名(2.8%)的参与者发生了中风,5,079名(1.4%)得了痴呆症。
在全部参与者中,16.29%报告每天喝0.5-1杯咖啡和≥4杯茶,占比最大;其次有13.68%参与者报告他们每天喝0杯咖啡和≥4杯茶。此外,44868名(12.27%)参与者报告说,他们每天喝2-3杯咖啡和2-3杯茶。
同时数据分析显示,咖啡摄入量(杯/天)与茶摄入量有关(r = +0.337,P <0.001)。
图源:PLOS Medicine
基线特征显示,与不喝咖啡也不喝茶的参与者相比,同时饮用这两种饮料的参与者更有可能是老年人、男性、白人、前吸烟者、现有饮酒者、拥有大学学位,并且收入很高。
图源:PLOS Medicine
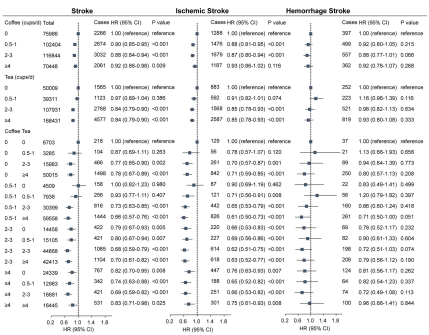
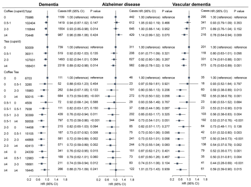
研究学者发现,饮用咖啡、茶、咖啡+茶与中风、痴呆和中风后痴呆症均有关。
在多调整模型中,咖啡和茶与中风、痴呆症的关联是U型的(非线性P<0.001)。数据显示,咖啡摄入量为2-3杯/天,或茶摄入量为3-5杯/天,或咖啡和茶摄入量为4-6杯/天,与中风和痴呆症的最低危险比率(HR)有关,多喝或少喝都有害而无益。
图源:PLOS Medicine
此外,研究学者还发现,咖啡和茶组合饮用比只喝其中一种降低疾病风险的效果更好。
降低中风风险:每天喝2-4杯咖啡可使中风风险降低8-12%,喝2-4杯茶可使中风风险降低16%,而每天2-3杯咖啡+2-3杯茶可以使中风风险显著降低32%。
图源:PLOS Medicine
降低痴呆症风险:研究学者发现,每天喝0.5-1杯咖啡和≥4杯茶可降低30%痴呆症风险,每天喝2-3杯咖啡和2-3杯茶与痴呆症风险降低28%有关。不过,虽然咖啡和茶摄入量的组合与血管性痴呆的风险较低有关,但与阿尔兹海默症引起的痴呆无关。
降低中风后痴呆症风险:咖啡和茶共同饮用还与中风后痴呆症的风险较低有关。与不喝咖啡和茶的人相比,每天喝0.5-1杯咖啡和2-3杯茶的人患中风后痴呆症的风险降低一半(50%)。
图源:PLOS Medicine
校正混淆因素后,同时饮用咖啡和茶的参与者与只喝咖啡或茶的相比,中风、缺血性中风、痴呆症、血管性痴呆的风险分别降低11%、11%、8%、18%。也证明咖啡和茶共同饮用比单一饮用咖啡或茶的预防疾病效果更强。
即爱喝咖啡又爱喝茶的人,要“双厨狂喜”了。
对于爱喝咖啡的人而言,咖啡的种类也有很多。像速溶咖啡、现磨咖啡、低因咖啡,它们之间又有什么区别呢?对于疾病的发生又有着怎样的影响呢?
在喝咖啡的受调查者中,有44.0%习惯饮用速溶咖啡,17.3%饮用研磨咖啡,而15.7%饮用低因咖啡。数据分析显示,速溶咖啡和低因咖啡降低中风风险的能力没有显著差异,但研磨咖啡与较低的中风和缺血性卒中风险下降10%相关。
对于痴呆风险而言,与速溶咖啡相比,研磨咖啡可以分别降低痴呆、阿尔兹海默症、血管性痴呆的风险17%、23%、18%。与低因咖啡相比,速溶咖啡也可以分别降低痴呆、阿尔茨海默症、血管性痴呆的风险15%、19%、16%,研磨咖啡可降低痴呆、阿尔茨海默症、血管性痴呆的风险26%、33%、26%。
所以,在选择咖啡的时:研磨咖啡>速溶咖啡>低因咖啡。
综上,这项大型前瞻性队列研究发现:
1. 茶和咖啡无论是单独饮用还是组合饮用,均与中风、缺血性中风、痴呆症、血管性痴呆的风险降低有关;
2. 咖啡和茶共同饮用,比只喝咖啡或茶,中风、痴呆的风险更低;
3. 每天喝2-3杯咖啡和2-3杯茶的参与者,患中风、痴呆的风险降低约30%。
总之这项研究表明,适量饮用咖啡和茶,无论是单独饮用还是两者结合,与较低的中风和痴呆风险有关。平时想喝饮料的话,可以将咖啡和茶作为优选,有一定的护脑效果哟~
*注:文中的剂量单位为cup。1cup=150mL。
编辑 | Swagpp
来源|梅斯医学
来自:生物谷
更多阅读:







