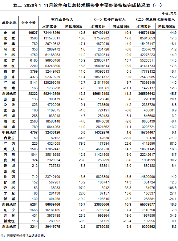
工信部:2020年1-11月软件和信息技术服务业主要指标分省表 更多阅读:工信部:2013年1-7月软件和信息技术服务业主要经济指标完成情况表工信部:2022年软件和信息技术服务业统计公报工信部:2021年前三季度软件和信息技术服务业主要经济指标完成情况表工信部:2020年软件和信息技术服务业统计公报工信部:2020年软件和信息技术服务业统计公报主要指标表工信部:2020年软件和信息技术服务业统计公报工信部:2020年中国软件和信息技术服务业综合发展指数报告工信部:2020年软件和信息技术服务业年度统计数据工信部:2021年前三季度副省级城市软件和信息技术服务业主要经济指标完成情况表工信部:2020年1-7月软件和信息技术服务业主要指标工信部:2019年软件和信息技术服务业统计年报工信部:2020年1-11月软件和信息技术服务业主要指标分省表工信部:2021年前三季度软件和信息技术服务业主要指标工信部:2021年前三季度软件和信息技术服务业主要经济指标完成情况表2021年湖南省软件和信息技术服务业发展年度报告