• 简洁版
  • 交流群
  • 搜索
  • 大数据导航
  • 企业数据
  • 投稿与合作
  • 项目需求
  • 会议

互联网数据资讯网-199IT

菜单Menu

  • 首页
  • 报告
  • 新兴产业
    • 5G产业
    • 人工智能
      • 机器学习
      • 知识图谱
    • 医疗健康
    • 商业地产
    • 新基建
    • 新能源产业
    • 新一代信息技术
    • 智能汽车
    • 高端装备制造
    • 物联网
    • 新材料产业
    • 工业4.0
    • 新能源汽车
    • 节能环保产业
    • 数字创意
  • 金融科技
    • 互联网金融
    • 区块链
  • 共享经济
    • 网约车
    • 共享汽车
    • 共享办公
    • 共享单车
    • 共享充电宝
    • 共享奢侈品
  • 移动
    • 电信产业
    • 移动设备
    • 移动互联网广告
    • 二维码
    • 手机浏览器
    • 手机邮箱
    • 移动地理位置服务
    • 移动增值
    • 移动应用
    • 移动搜索
    • 移动支付
  • 电商
    • 网络购物
    • 移动电子商务
    • B2B
    • 团购
    • 网上支付
  • 社交
    • 网络交友
    • 即时通讯
    • 微博
    • SNS
    • 图片分享
    • 问答类网站
    • 电子邮件
  • 营销
    • EDM营销
    • 社会化网络营销
    • 搜索营销
    • 移动营销
    • 口碑营销
    • 视频广告营销
    • 展示广告
    • 整合营销
    • 品牌网络广告
    • 营销服务
    • 广告联盟
    • 技术营销
  • 投资
    • 创业投资
    • 企业财务报告
  • 服务
    • 媒体
      • 新闻门户
      • IT垂直网站
      • 垂直财经网站
      • 网络招聘
      • 旅行预订
      • 时尚网站
      • 文学网站
      • 汽车网站
    • 娱乐
      • 网络视频
      • 网络游戏
        • 社交游戏
        • 网页游戏
      • 在线音乐
      • 无线音乐
      • 手机视频
      • 移动游戏
    • 硬件设备业
    • 云计算
    • 分类信息
    • 搜索引擎
    • 网络安全
    • 在线地图
  • 行业
    • 大数据
    • 行业资讯
    • Web分析
    • 数据挖掘
  • 用研
    • 信息图
    • 数局

生活数据

1664364118-9966-aLojGEcdFO5p8xeiaKVtFFtZvKag.png
  • 生活数据

58同城:2022年居民出行服务业就业趋势

  • 互联网数据资讯网-199IT
  • 2022年09月28日
  • 作者 DinK
1664363460-3401-aO33BPfQDQXiaRzF6HWj6Em28wwA.png
  • 生活数据

《柳叶刀》:烟酒是头号致癌“凶手”实锤了!

  • 互联网数据资讯网-199IT
  • 2022年09月28日
  • 作者 DinK
1664362631-5665-Pdjh51d6RYgQBEPeIVzUQ3wqSXKw.png
  • 生活数据

无需节食!研究表明减少蛋白质摄入即可对抗肥胖

  • 互联网数据资讯网-199IT
  • 2022年09月28日
  • 作者 DinK
1664257624-5144-a38953c76032e27.jpg
  • 影视票房数据

猫眼专业版:2022年9月《长空之王》预售票房破三千万

  • 互联网数据资讯网-199IT
  • 2022年09月27日
  • 作者 翠花
1664258582-8124-def1f768a1676b5.jpg
  • 影视票房数据

《阿凡达》时隔13年重映 票房总成绩超28.77亿美元

  • 互联网数据资讯网-199IT
  • 2022年09月27日
  • 作者 翠花
cb58db27017c1c45.jpgq65.png
  • 生活数据

调查研究显示多吃果蔬能降低死亡风险

  • 互联网数据资讯网-199IT
  • 2022年09月27日
  • 作者 DinK
1664249570-4969-.jpg
  • 生活数据

2022美国华人基础开销调查

  • 互联网数据资讯网-199IT
  • 2022年09月27日
  • 作者 DinK
1664128056-4995-9MaRGhu5b1ruyGJPW6V9lR8RWhqQ.png
  • 生活数据

最新研究表明:每天服用多种维生素可改善老年痴呆

  • 互联网数据资讯网-199IT
  • 2022年09月26日
  • 作者 DinK
1664125164-8254-zGlfxIvzaAhiatHiaZdlZiburAUw.png
  • 生活数据

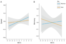
《神经病学》:运动和脑力活动改善认知!UCSD团队发现,脑力活动与思维速度储备增加有关,女性体力活动越多,思维速度储备就越快

  • 互联网数据资讯网-199IT
  • 2022年09月26日
  • 作者 DinK
1664124417-1037-QFQd4B2vFDlzlKw7rVYSRgYOGgtA.png
  • 生活数据

“多喝热水”女友和科学家听了都摇头!温度超54℃,即诱发食管癌;超60℃,患癌增90%!

  • 互联网数据资讯网-199IT
  • 2022年09月26日
  • 作者 DinK
1664123756-1096-FuKoghA9XSPc42RicphVmMgYtODg.png
  • 体育数据

中国文教体育用品协会:2022年1-7月文体用品行业进出口简报

  • 互联网数据资讯网-199IT
  • 2022年09月26日
  • 作者 DinK
1664102197-6313-075b538b4d9532d.jpg
  • 生活数据

SpzToid:参与四天工作制试点的公司称这并没有带来生产力的损失

  • 互联网数据资讯网-199IT
  • 2022年09月25日
  • 作者 翠花
1663929035-9320-985507714d4c84d540660ebef9e8.jpg
  • 生活数据

中国天气网:全国平均最低气温首次跌至10℃以下 北方下滑迅猛

  • 互联网数据资讯网-199IT
  • 2022年09月23日
  • 作者 翠花
0001-29.jpg
  • 199IT推荐文章
  • 生活数据
  • + 1 更多
    • 研究报告

Houzz:2021-2022英国家居装修报告

  • 互联网数据资讯网-199IT
  • 2022年09月23日
  • 作者 windowsun
1663867690-1080-8eee-41b2-87a4-7a470222096c.jpg
  • 生活数据

知乎:2022年职场人观察

  • 互联网数据资讯网-199IT
  • 2022年09月23日
  • 作者 DinK
1663867327-7083-2-202209221720529747.png
  • 生活数据
  • 电子商务

京东:2022年地标农产品上行趋势

  • 互联网数据资讯网-199IT
  • 2022年09月23日
  • 作者 DinK
1663866746-2563-XCb3dRQjQ30D5TbiaaHXIJJ7w4aw.png
  • 生活数据

2022年度抖音自然科普数据

  • 互联网数据资讯网-199IT
  • 2022年09月23日
  • 作者 DinK

文章导航

前一页 页 1 … 页 169 页 170 页 171 … 页 551 下一页

微信公众账号

#

官方小程序


欢迎大家微信扫码查阅更多数据

#

近期文章

  • 第九版APEC能源需求与供应展望报告
  • Think Now:2025年西班牙裔假日购物报告
  • 世界经济论坛:面向未来的长寿经济
  • StartUs Insights:2026年全球能源行业趋势报告
  • SNAP家庭年度食品支出高出非SNAP家庭23%
  • Omdia:2026年全球电视机出货量将超过2.1亿台
  • 集邦咨询:2025年全球笔记本出货1.83亿台 同比增长4.9%
  • Counterpoint:2025年苹果20%份额首超三星,全球手机出货量增2%
  • IDC:2025年中国智能手机华为出货量4670万台 份额16.4%
  • KeyBanc:2026年服务器CPU出货量预计增长16-17%

标签

-数据信息图 Android Canalys ComScore CounterPoint eMarketer Facebook Gartner Google IDC iPhone Nielsen Omdia Sensor Tower Strategy Analytics Trendforce Twitter 三星 中国 中国汽车工业协会 中国汽车流通协会 乘联会 人工智能 信息图 全球 出货量 国家统计局 大数据 小米 工信部 市场规模 平板电脑 投资 新能源汽车 智能手机 智能手机厂商出货量 特斯拉 电子商务 社交媒体 社交网络 移动互联网 移动游戏 网络购物 美国 苹果
© 2011-2022 199IT.COM  京ICP备14049259号-1

京公网安备 11010802026978号

法律顾问:合博律师事务所 如有侵权请联系我们admin@199it.com 本站版权说明
感谢支持199IT
我们致力为中国互联网研究和咨询及IT行业数据专业人员和决策者提供一个数据共享平台。

要继续访问我们的网站,只需关闭您的广告拦截器并刷新页面。
滚动到顶部