茶与咖啡,是全世界消费最广泛的饮料之二——
茶是世界上仅次于水、消费量第二大的饮料,全球约有30亿人喜欢喝茶,基本上每3人中便有1人爱喝茶;
至于大家有多爱喝咖啡?顶刊Science的数据统计显示,全世界平均每天要消耗22.5亿杯咖啡,杯子连起来简直能绕地球7.5圈啊!
含有咖啡因、儿茶素多酚和黄酮类化合物的茶,具有神经保护作用,起到抗氧化应激、抗炎症、抗凋亡等效果。而咖啡含咖啡因,也是抗氧化剂和生物活性化合物的丰富来源。相比于奶茶、果汁、含糖饮料等等,咖啡和茶这两种健康饮品自然成为大众的优选。
但对于众多“打工狗”而言,上午咖啡下午茶,真的是为了“续命”啊!不过,有人不禁担心,这么经常地饮用咖啡和茶,会不会透支大脑,甚至导致折寿呢?
事实上,这样的担心有些多余了!咖啡和茶不仅不会“透支”大脑,反而还会对大脑的健康起到保护作用。
近日,中山大学的研究团队调查了超3.5万人后给出了具体的建议:每天饮用2-3杯咖啡或饮用≥4杯茶,与黄斑视网膜神经纤维层(mRNFL)厚度增加15-16%有关,或具有神经保护的潜力!

https://doi.org/10.3390/nu15051196
首先,来回答一下大家内心的疑问:mRNFL厚度与大脑神经健康有着怎样的联系?
视网膜是从中枢神经系统(CNS)延伸出来的组织,可作为一个独特的“中枢神经疾病检测窗口”,通过光学相干断层扫描(OCT)无创地检测大脑以及血管疾病。
先前研究表明,视网膜神经纤维层(RNFL)变薄与认知衰退以及神经退行性变化之间有着明显关联,比如青光眼、帕金森病、阿尔茨海默症和轻度认知障碍等疾病。反过来说,RNFL厚度的增加,意味着罹患神经退行性疾病的风险得以降低。

黄斑视网膜神经纤维层的OCT图像
为了探究咖啡/茶是否存在神经保护的潜力,研究者从英国生物银行(UK Biobank)数据库中收集到35,557名参与者纳入此项横断面研究,并记录了他们每天平均咖啡/茶的饮用量。
在全部参与者中,分别有78%和86%的饮用咖啡和茶。根据自我报告的数据,参与者的咖啡和茶消费量被分为四类:0杯/天、0.5-1杯/天、2-3杯/天和≥4杯/天。
此外,为反映神经变性的情况,研究者采用OCT测量了参与者的mRNFL厚度。
结果显示,咖啡饮用量和mRNFL厚度之间存在倒U型的关联。其中,每日饮用2-3杯咖啡的效果最好,与mRNFL厚度增加16%有关,且该关联不受年龄以及性别的影响。
不过值得注意的是,以上提到的咖啡不包括速溶,如果平日喝的是速溶咖啡甚至会“适得其反”!习惯性饮用速溶咖啡的参与者的mRNFL厚度显著低于不喝的,前者比后者薄0.27µm(28.36 µm vs. 28.63 µm, p < 0.05)。
看来,速溶咖啡还是得“避雷”!

咖啡和茶的饮用量与mRNFL厚度之间的关联
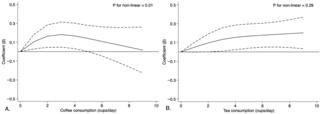
而在我国,饮茶比咖啡更为普遍。那么,茶的饮用量与mRNFL厚度之间又有着怎样的联系呢?
限制性立方样条(RCS)模型显示,mRNFL厚度随着茶的摄入量增加而线性增加。调整混杂因素后,当每天的饮茶量超过4杯时,mRNFL的厚度显著增加了15-16%,更有益于大脑的长期健康。

限制性立方样条模型下咖啡/茶饮用量与mRNFL厚度之间的关系
综上,mRNFL厚度在饮用咖啡和茶的人群中更高,尤其是每天饮用2-3杯咖啡或≥4杯茶的更为明显,这意味着咖啡和茶具有神经保护的潜力,降低神经退行性疾病的风险。不过需要注意的是,速溶咖啡真不行!
但是,上述研究中更多展现的是咖啡和茶单独饮用对大脑健康的影响。事实上,咖啡与茶叶的消费密切相关,大约有70%的人同时引用咖啡和茶。那么两者一起饮用,究竟是强强联合还是正正得负了呢?
此前,来自天津医科大学的团队就“咖啡+茶”的联合效应进行研究,结果显示:咖啡和茶不管是单独饮用还是一起饮用都具有降低中风、痴呆风险的作用——每日饮用2-3杯咖啡+2-3杯茶,可以降低32%的中风风险和28%的痴呆风险。该研究发表在PLOS Medicine上。

图源:PLOS Medicine
同样是来自UK Biobank,本项前瞻性队列研究共纳入了365,682名参与者。在中位11.35年的随访过程中,有10,051名(2.8%)的参与者发生了中风,5,079名(1.4%)罹患痴呆症。
在全部参与者中,16.29%报告每天喝0.5-1杯咖啡和≥4杯茶,占比最大;其次有13.68%为饮茶爱好者,每天饮用≥4杯茶但不喝咖啡;另有44868名(12.27%)参与者报告说,每天喝2-3杯咖啡和2-3杯茶。
结果显示,饮用咖啡、茶以及咖啡+茶,均与中风、痴呆和中风后痴呆症有关。
在多调整模型中,咖啡和茶的摄入量与中风、痴呆症的关联都为U型。具体来说,咖啡摄入量为2-3杯/天,或茶摄入量为3-5杯/天,或咖啡+茶摄入量为4-6杯/天,与最低的中风和痴呆症危险比率(HR)有关,多喝或少喝都有害而无益。

咖啡和茶饮用量与中风、痴呆和中风后痴呆症风险之间的关联
更有意思的是,研究学者还发现,咖啡和茶组合饮用比只喝其中一种降低疾病风险的效果更好!
降低中风风险:每天饮用2-4杯咖啡可使中风风险降低8-12%,而每天喝2-4杯茶可使中风风险降低16%;相比之下,每天2-3杯咖啡+2-3杯茶的效果更好,导致中风风险显著降低32%。

不同的咖啡、茶饮用量与罹患中风及其亚型风险之间的关系
降低痴呆症风险:每天喝0.5-1杯咖啡和≥4杯茶与罹患痴呆症的风险降低30%有关,每天喝2-3杯咖啡和2-3杯茶与痴呆症风险降低28%有关。但值得注意的是,本研究发现,咖啡和茶摄入量的组合与血管性痴呆的风险较低有关,但与阿尔兹海默症引起的痴呆无关。
降低中风后痴呆症风险:咖啡和茶共同饮用,还与更低的中风后痴呆症的风险有关。与不喝咖啡和茶的人相比,每天喝0.5-1杯咖啡和2-3杯茶的人患中风后痴呆症的风险降低一半(50%)。

不同的咖啡、茶饮用量与罹患痴呆症及其亚型风险之间的关系
进一步地校正混淆因素后,与只喝咖啡或茶的相比,同时饮用咖啡和茶的参与者罹患中风、缺血性中风、痴呆症、血管性痴呆的风险分别降低11%、11%、8%、18%。这些数值也证明,咖啡和茶共同饮用比单一饮用的预防疾病效果更强。
即爱喝咖啡又爱喝茶的人,要“双厨狂喜”了!
上一篇研究中提及“速溶咖啡恐对大脑健康造成损害”,而本研究也进一步对比了不同种类咖啡(速溶咖啡、现磨咖啡、低因咖啡)的区别。那我们就来具体盘一盘:
在喝咖啡的受调查者中,有44.0%习惯饮用速溶咖啡,17.3%饮用研磨咖啡,而15.7%饮用低因咖啡。可见,速溶咖啡还真是个“大市场”。
数据分析显示,速溶咖啡和低因咖啡降低中风风险的能力没有显著差异。相比之下,研磨咖啡与较低的中风和缺血性卒中风险相关,约降低10%。

咖啡类型与中风风险之间的联系
对于降低痴呆风险而言,研磨咖啡的效果远超速溶咖啡。具体来说,研磨咖啡可使痴呆、阿尔兹海默症、血管性痴呆的风险分别下降17%、23%、18%。
不过,与低因咖啡相比,速溶咖啡可以降低痴呆、阿尔茨海默症、血管性痴呆的风险,分别下降15%、19%、16%。当然,研磨咖啡的效果也就更好了,可使痴呆症、阿尔茨海默症、血管性痴呆的风险分别下降26%、33%、26%。

咖啡类型与痴呆症之间的关系
因此,在选择咖啡的时:研磨咖啡>速溶咖啡>低因咖啡。有条件的情况下,尽量选择研磨咖啡吧!
总之,这项研究表明,适量饮用咖啡和茶,无论是单独饮用还是两者结合,与较低的中风和痴呆风险有关。不过,咖啡与茶共饮效果更好,每天喝2-3杯咖啡和2-3杯茶的参与者,患中风、痴呆的风险降低约30%。
平时想喝饮料的话,可以将咖啡和茶作为优选,有一定的护脑效果哟~。
*注:文中的剂量单位为cup。1cup=150mL。
参考资料:
[1]Yuan Y, Bulloch G, Zhang S, Chen Y, Yang S, Wang W, Zhu Z, He M. Consumption of Coffee and Tea Is Associated with Macular Retinal Nerve Fiber Layer Thickness: Results from the UK Biobank. Nutrients. 2023 Feb 27;15(5):1196. doi: 10.3390/nu15051196. PMID: 36904194; PMCID: PMC10005476.
[2]Zhang Y, Yang H, Li S, Li WD, Wang Y. Consumption of coffee and tea and risk of developing stroke, dementia, and poststroke dementia: A cohort study in the UK Biobank. PLoS Med. 2021 Nov 16;18(11):e1003830. doi: 10.1371/journal.pmed.1003830. PMID: 34784347; PMCID: PMC8594796.
来自: 生物谷
更多阅读:
