美人,汉服,茶。
在最近热播的古装剧《梦华录》中,刘亦菲扮演的茶坊老板娘上演的茶道表演十分惊艳,点茶更是让见惯了咖啡拉花的观众们在震惊之余又赞不绝口。宋代人喝茶的仪式感,为中国茶文化又增添了一批忠实粉丝。
中国是茶的故乡,对于很多人来说,一提起茶,便是中国的韵味。
不过,喝茶不仅是一种富有底蕴的特色文化,适量饮茶对身体的益处也得到大量现代科学证据的支持。
这次,来自天津医科大学南开医院的程鹏飞和他的同事们,通过对来自中国、日本、韩国等多个国家大约72万人的数据进行分析后发现,多喝茶与脑出血风险降低23%显著相关。如果是喝绿茶,每天每多喝一杯绿茶(120 mL/杯)就与脑出血风险降低6%相关[1]。
文章于近日发表在Acta Neurologica Belgica期刊上。
论文首页截图
喝茶对身体的益处,除了口头上说的陶冶情操、修身养性,茶叶中的多种酚类物质(茶多酚、儿茶酚等)具有许多生物学特性,所带来的颇多健康收益正在被科学家们挖掘出来。
其中,茶多酚已被证明对糖尿病、癌症和心血管疾病有良好的疗效[2]。儿茶酚——茶叶中的主要酚类物质,也具有降脂、抗氧化、降压等作用[3]。此外,在绿茶中还含有多种抗氧化剂,如维生素C、维生素E和镁[4],有研究表明,这几种抗氧化剂与中风风险降低有关[5,6]。
这次,程鹏飞和他的同事们对喝茶与脑出血风险之间的相关性进行了一系列探索。
他们从Pubmed、Web of Knowl edgemeta、Embase、Scopus数据库检索得到1610篇文章,经筛选后最终纳入10篇文献进行荟萃分析,共计721827名参与者,大部分来自亚洲(2项研究来自瑞典队列,4项来自日本队列,来自中国、韩国、澳大利亚、荷兰队列的研究各1项)。中位随访时间从5到13.6年不等。
初步分析结果显示,不管喝的是哪种茶,与喝茶较少的人相比,多喝茶与脑出血风险降低23%显著相关(RR 0.77,95%CI 0.66-0.89,P=0.001)。
具体来看,不同类型的茶,喝起来效果也不一样。
喝绿茶效果最好,多喝绿茶与脑出血风险降低34%相关(RR 0.66,95%CI 0.57-0.76,P<0.001)。混合茶(Mixed tea)的效果有限,多喝混合茶与与脑出血风险降低17%相关(RR 0.83,95%C I 0.72–0.96,P=0.013)。
然而在这项研究中,并没有发现多喝红茶、乌龙茶、大麦茶与脑出血风险之间具有显著关联(P=0.644;P=0.104;P=0.433)。
另外,分析表明,中风的几个风险因素,如饮酒、体育运动、蔬果摄入等,可能会影响喝茶与脑出血之间的关系。毕竟,与不喝茶的人相比,爱喝茶的人可能会做更多的体育活动,饮酒量也较少或适当。
喝茶降低脑出血风险,对亚洲人和非亚洲人都有效哦
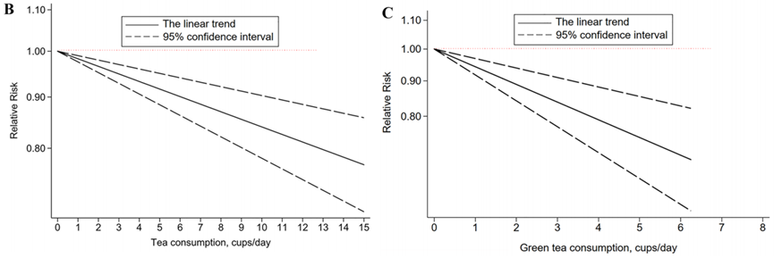
不仅如此,研究者们还做了剂量-反应关系分析。
一杯茶,按120mL来算。
不分种类的的话,每天多喝1杯茶、3杯茶,分别与脑出血风险降低2%、5%显著相关(RR 0.98,95%CI 0.976-0.990,P<0.001;RR=0.95, 95% CI 0.93-0.97;P < 0.001)。
换做绿茶就不一样了。
每天多喝1杯绿茶与脑出血风险降低6%相关(RR 0.94,95%CI 0.92-0.97),每天多喝3杯绿茶更是与脑出血风险降低16%相关(RR 0.84, 95%CI 0.77-0.91)。而且在这项研究中,超过一半的参与者(67%)都能做到一天内喝至少1杯绿茶,41%的人每天饮绿茶达3杯或更多。
来来来,再来一杯茶
总体来说,程鹏飞和他的同事们通过对72万余人的数据进行荟萃分析发现,多喝茶能降低脑出血风险,绿茶效果最好。每天多喝1杯茶(120mL/杯)与脑出血风险降低2%相关,每天多喝1杯绿茶则与脑出血降低6%相关。
同茶不同“命”,和绿茶这么一比,红茶的效果就不尽如人意,与脑出血风险无显著关联。
研究者们解释道,这可能与茶叶中的儿茶酚成分有关。绿茶中儿茶酚的含量为80%-90%,而红茶中儿茶酚的含量大打折扣,仅有20%-30%[7]。值得注意的是,烘焙、发酵的工艺会导致绿茶中儿茶酚流失,含量下降[7]。
茶文化,还在延续……
来自:
更多阅读:





