地中海饮食富含丰富多彩的水果和蔬菜、健康的脂肪和瘦肉蛋白,因它对健康的诸多益处(包括预防心脏病和糖尿病)而一直备受赞誉。
如今,在一项新的研究中,来自西班牙多个研究机构的研究人员发现地中海饮食加上定期锻炼和减少卡路里摄入,可以减少老年人危险的腹部脂肪,同时有助于保持肌肉质量。这是他们展示了一项持续八年的旨在了解地中海饮食能否降低心脏病发作和中风风险的研究的三年结果。相关研究结果于近期在线发表在JAMA Network Open期刊上,论文标题为“An Energy-Reduced Mediterranean Diet, Physical Activity, and Body Composition”。
众所周知,腹部脂肪堆积会引起炎症,并与心脏病、中风、糖尿病和某些形式的癌症有关。此外,肌肉质量会随着年龄的增长而下降,这会导致身体虚弱、行动不便和更容易跌倒。
这项新的研究纳入1500多名超重或肥胖、患有代谢综合征(metabolic syndrome)的中老年人。代谢综合征是一类一个人患糖尿病、心脏病和中风的风险增加的疾病。
第一组参与者在遵循地中海饮食习惯的同时,减少了 30% 的卡路里摄入,并增加了体育锻炼。他们还被告知要限制食用加工食品、肉类、黄油和添加糖,并多吃全谷物食品。但建议并不止于食物:他们还被鼓励逐步增加体育锻炼,目标是每周六天每天步行 45 分钟或更长时间,同时进行增强体力的锻炼。第二组参与者遵循地中海饮食习惯,不限制卡路里摄入,也没有改变体育锻炼。
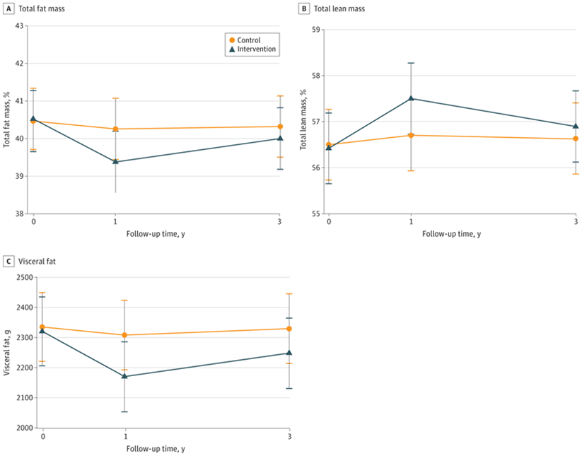
通过研究组随访调整身体成分参数的方法。图片来自JAMA Network Open, 2023, doi:10.1001/jamanetworkopen.2023.37994。
在坚持地中海饮食的同时减少卡路里摄入并经常锻炼的人,腹部脂肪和总脂肪都有所减少,而且他们在三年内保持了大部分脂肪的减少。相比之下,第二组参与者的腹部脂肪没有任何变化。这两组参与者都增加了一些瘦肌肉,但是第一组参与者减掉的脂肪比肌肉多。
美国纽约市蒙蒂菲奥里健康系统临床营养服务主任 Cewin Chao 说,“这是一项雄心勃勃而又优雅的研究。如果你摄入高质量的饮食、进行锻炼并减少热量,你将会减掉更多的身体脂肪,尤其是腹部器官周围更危险的深层脂肪,并保留更多的肌肉。这些投资看起来确实会在三年后得到回报。”
美国纽约大学营养学、食品研究和公共卫生退休教授Marion Nestle说,“如果你减少卡路里摄入,增加体育锻炼,你就会减肥。这种方法每次都有效。采用地中海饮食的人……能够在三年的研究中保持较少的卡路里摄入和较好的卡路里平衡。”这种饮食与多种良好的健康状况有关,值得强烈推荐。”
参考资料:
1. Jadwiga Konieczna et al. An Energy-Reduced Mediterranean Diet, Physical Activity, and Body Composition. JAMA Network Open, 2023, doi:10.1001/jamanetworkopen.2023.37994.
2. Mediterranean diet plus exercise burns fat, adds muscle
https://medicalxpress.com/news/2023-10-mediterranean-diet-fat-muscle.html
来自: 生物谷
更多阅读:


