延缓衰老,是一个令人永恒向往但深深困扰人类的谜题。几千年来,人类为了追求长生不老,帝王将相前赴后继。在东方,有着“炼丹求仙”或者“人血馒头续命”的故事,而在欧洲,吸血鬼喝人血永葆青春的传说更是引发人们的恐惧与遐想,虽然这些情节只存在于虚构的奇幻世界,但却让我们对血液中蕴藏的力量产生了无限的幻想。在当下,随着科学的不断发展,我们是否真的能在血液中找到抵达永恒的密码?
2023年7月27日,杜克大学、哈佛大学医学院以及抗衰老研究公司Altos Labs的研究人员合作,在Nature子刊Nature Aging上发表了题为:Multi-omic rejuvenation and life span extension on exposure to youthful circulation的研究论文,这项研究结果显示,通过手术连接年轻和老年小鼠循环系统的过程减缓了细胞水平的衰老过程,也即是说年轻的血液能够延缓衰老,并将老年动物的寿命延长了多达10%。
异时性联体共生 (HPB) 是一种特殊状态,它通过手术将两只活体动物(一幼一老)连接在一起,形成了一个共享的循环系统。已有研究证明,HPB能够使某些小鼠组织恢复活力。然而,HPB对于生物年龄和长期健康的整体影响目前还不清楚。
多位研究人员,包括本文的作者Horvath 博士在内,在早期的研究中发现,在三周的联体共生后,老年小鼠的组织和细胞具有抗衰老的功效。这些研究发现,年长的小鼠变得更加活跃,它们的组织显示出恢复活力的迹象。
Horvath的团队进一步思考,如果在三周的联体共生中看到这些抗衰老效果,那么如果将其延长到十二周,会发生什么?
有趣的是,共生结束两个月以后的分析结果表明,年长的动物表现出更好的生理能力,并且比未接受手术的动物寿命延长了 10%,动物共享循环的时间越长,抗衰老效果的持续时间也就越长(图一)。
图一:1. 异种共生和脱离模型概述:所有小鼠的共生时间为3个月,年老小鼠为20月龄,年轻小鼠为3月龄开始。23个月大时,分离共生的小鼠并评估剩余寿命;2. 与对照组相比,共生后分离的老年小鼠的中位寿命延长了6周,最大寿命延长了2周[1]
Steve Horvath 博士是 Altos Labs 的杰出首席研究员,他在衰老生物学领域享有盛誉。他以其创新性的研究而闻名,通过利用基因组的甲基化状态构建了一种表观遗传衰老时钟,这一时钟被广泛认可为评估生物体年龄相关性的关键工具。
为了进行表观遗传学分析,作者团队对小鼠进行了相同的长期联体共生,并在3个月共生手术后立即收集组织,或解离2个月后再收集组织,通过亚硫酸氢盐还原测序法(RRBS)检测小鼠的血液以及肝脏的表观遗传年龄,通过将表观遗传衰老时钟应用于血液的RRBS数据,研究人员发现实验组的表观遗传年龄明显降低(24 ± 3.8%)。有趣的是,即使在解离2个月后,这种效应仍然持续存在(年龄降低了22.4 ± 6.4%)(图二1)。将这四个时钟应用于肝脏数据,结果显示与血液中观察到的表观遗传年龄相似,共生结束时(16.8 ± 7.9%)和共生结束两月后(19.1 ± 5.4%)的表观遗传年龄降低(图二2)。总的来说,这些结果表明,长期HPB可以使血液和肝脏的表观基因组恢复活力。
图二:采用Meer多组织时钟、Petkovich血液时钟、Thompson多组织时钟和scAge血液时钟评估分离前后的小鼠DNA甲基化年龄[1]
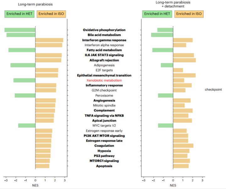
鉴于显著的表观遗传年龄逆转,作者希望同时阐明联体共生对转录组的影响。对共生连接小鼠的肝脏组织进行了RNA-seq分析,然后进行差异基因表达和基因集富集分析(GSEA)后发现,在联体连接期后立即采集的样本中,观察到三羧酸循环、氧化磷酸化、线粒体生物合成和脂肪酸代谢通路呈现积极富集,同时干扰素γ和炎症反应通路则呈现耗竭(即负富集),这表明HPB可能逆转了关键能量生产途径以及炎症等衰老特征(图三),这些结果进一步支持HPB对小鼠转录组的恢复作用。
图三:异时性联体共生的转录组学分析揭示了独特的通路富集和差异表达模式[1]
为了揭示在长期联体共生中观察到的年轻化效应可能的机制,研究人员还调查了对HPB作出反应的个体基因及其与寿命延长的关联,几个与寿命调节有关的基因被发现,包括Gstt2、Sirt3、C1qb和Tert,这些基因在长期共生后显示出持续的表达变化。值得重视的是,与短期(5周)联体共生相比,长期(3个月)联体共生对小鼠的转录组和表观基因组的年轻化效果更加显著。这种长效的年轻化效果使老年小鼠的健康时期和寿命得到延长,即使经历了这种创伤性手术,还能产生介于年轻和老年小鼠之间的分子特征(图四)。
图四:基因表达分析暗示了长期HPB可能的返老还童机制[1]
总的来说,Horvath 博士团队的研究结果表明,在接受年轻血液循环后,体内发生深刻且持久的分子年轻化效应,从而延长寿命和健康寿命。年轻血液中含有对活力有益的成分和化学物质,这些因素可能成为加速康复、恢复身体活力和延长老年人寿命的治疗手段。然而,在我们等待研究成功的同时,我们也不能忽视自身的努力,保持健康的生活方式,定期锻炼和保持良好的饮食习惯仍然是重要的。
未来,我们仍需探索年轻血液循环中具体的因素,是蛋白质还是代谢产物?年轻小鼠是否提供了新的细胞,还是仅仅调节了老化和衰老的血液?这将是未来研究的重要方向,带着这份奇妙的发现,我们相信科学将继续揭示更多关于生命和健康的秘密。
参考文献:
1. Zhang B, Lee DE, Trapp A, et al. Multi-omic rejuvenation and life span extension on exposure to youthful circulation [published online ahead of print, 2023 Jul 27]. Nat Aging. 2023;
来自: 生物谷
更多阅读:





