俗话说:“中午不睡,下午崩溃”。很多小伙伴有睡午觉的习惯,一吃完午饭就像按下了某个神秘开关,上下眼皮疯狂打架,是时候该“充充电”了,这个时候如果能眯一会,简直美哉!但是也有一部分伙伴是“不睡午觉星人”,确切来说,不是不想睡,而是睡不着!
你知道吗?排除环境及个人选择等因素影响,如同高矮胖瘦一样,午觉习惯也受到基因的驱动。
众所周知,睡午觉好处多多,但是目前大多数关于午睡与认知或大脑健康之间关系的研究都是观察性的,是否存在因果关系仍然难以捉摸。近日,Sleep Health杂志发表了一篇题为“Is there an association between daytime napping,cognitive function,and brain volume?A Mendelian randomization study in the UK Biobank”的研究论文[1],使用孟德尔随机化(MR),探究了习惯性午睡与认知及大脑结构之间的关系,研究显示,午睡遗传倾向与总脑容量增加15.80cm3相关,大约相当于2.6-6.5岁的衰老差异。
https://doi.org/10.1016/j.sleh.2023.05.002
来自乌拉圭共和国大学、英国伦敦大学等单位的研究人员基于英国生物银行(UK Biobank,UKB)大样本数据,纳入378,932名受试者,平均年龄57岁。使用孟德尔随机化(Mendelian randomization study,MR),即通过遗传变异来估计暴露和结局之间的因果关系。该研究的暴露(午睡)使用92个先前确定的全基因组独立遗传变异(单核苷酸多态性,SNPs)进行检测,研究结局是总脑容量、海马体积、反应时间和视觉记忆。并采用逆方差加权,对水平多效性(指一些工具变量通过绕过暴露的途径额外影响结果)进行敏感性分析。
认知功能测量方面,在基线时,通过计算机触摸屏界面对所有参与者进行了5项认知评估,并选择了衰老过程中下降最明显的视觉记忆和反应时间进行分析。
在视觉记忆任务中,受试者被要求在记住自己的位置后,从6对卡片中正确地识别出匹配的卡片。然后记录不正确配对的次数(尝试正确识别配对的次数),次数越多反映视觉记忆越差。
反应时间(以毫秒为单位)被记录为受试者在12轮纸牌游戏“Snap(呼‘同’牌游戏)”中正确识别匹配所花费的平均时间,得分越高表明反应时间越慢(越差)。
神经影像学方面,使用标准方案对UKB的子样本进行了结构脑磁共振成像(MRI)扫描,研究者共收集了35,080名受试者的完整神经成像和基因型数据。分析了海马体积(左+右海马体积的平均值,cm3)和总脑容量(根据头部大小标准化,cm3)。
下面,激动人心的时刻到了,我们一起来看看研究结果。首先是样本基线情况,57%的受试者表示他们“从不/很少”午睡,38%和5%的受访者分别表示“有时”和“通常”午睡。报告称“通常”午睡的受试者特征如下:年龄较大,女性较少,被剥夺午睡时间的可能性更大,目前吸烟,服用抗高血压药物,被诊断为糖尿病,并患有普遍的心血管疾病。
图:英国生物银行午睡样本特征(来源:文献[1])
研究者通过92-SNP遗传工具研究午睡与大脑和海马体积之间的关系,IVW显示午睡的遗传倾向与总脑容量增加15.80cm3相关,午睡和海马体积之间没有关联,MR-Egger和WME方法均未发现不平衡的水平多效性。
图:午睡与总脑容量之间的关系(来源:文献[1])
这里需要说明的是,脑容量的测量已被用作神经变性的指标,在整个生命周期中脑容量都会逐步减少,但在认知能力下降和神经退行性疾病患者中,这一过程会加速。既往一项针对健康个体进行的荟萃分析发现,35岁以后,全脑体积稳步下降(每年0.2%),60岁时加速到每年0.5%,60岁以后大于0.5%[2]。按照假设每年线性下降0.2%至0.5%来换算,本研究发现的习惯午睡的人的总脑容量更大(即15.8cm3≈1.3%的差异),大约相当于2.6-6.5岁的衰老差异。这一差异大致相当于正常认知功能者和轻度认知障碍者脑容量的差异。
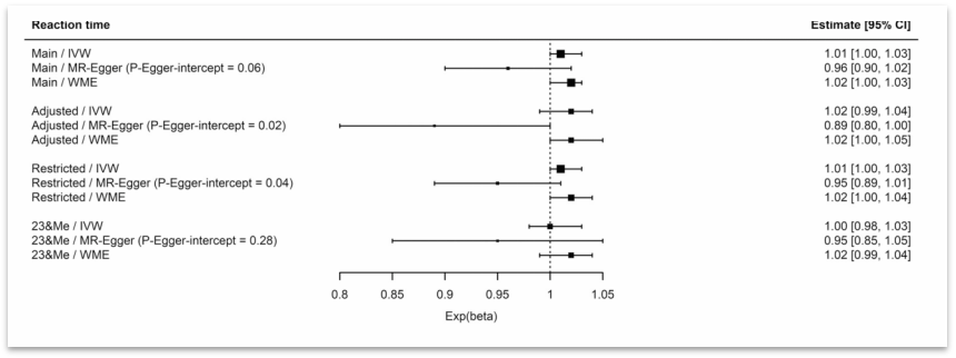
而海马体作为在记忆中起着至关重要作用的大脑结构,研究未发现午睡遗传倾向与其的关联。接下来,研究者进一步探究了午睡与认知功能之间的关系。结果显示,午睡与反应时间或视觉记忆之间没有关联,MR-Egger和WME方法未发现水平多效性的证据。
图:午睡与反应时间之间的关联(来源:文献[1])
研究者额外通过47-SNP(针对白天过度嗜睡进行了调整)、86-SNP(不包括睡眠呼吸暂停)和17-SNP(与UKBiobank没有样本重叠)遗传工具进行了敏感性分析,结果显示,其与总脑容量的关联在大小和方向上与我们的92-SNP遗传工具主要结果一致,且午睡与反应时间或视觉记忆无关。
研究者指出,观察性研究表明,午睡的时间长短也会影响认知功能。该研究的不足之处在于只分析了午睡的频率,但未分析午睡时间的影响。
综上所述,这项研究提高了我们对习惯性午睡遗传倾向对大脑健康影响的认识,这对理解老年人的认知障碍至关重要。看来,“午睡”是保持年轻、对抗衰老的健康秘籍,工作再繁忙,也要创造条件,睡个美美的午觉呀!
参考文献:
[1] Paz V, Dashti HS, Garfield V. Is there an association between daytime napping, cognitive function, and brain volume? A Mendelian randomization study in the UK Biobank. Sleep Health. 2023 Jun 12:S2352-7218(23)00089-X.
[2] Hedman AM, van Haren NEM, Schnack HG, et al. Human brain changes across the life span: a review of 56 longitudinal magnetic resonance imaging studies. Hum Brain Mapp. 2012;33:1987-2002.
来自: 生物谷
更多阅读:




