众所周知,生命在于运动。早在近2500年前,西方“医学之父”希波克拉底曾说过:阳光、空气、水和运动,是生命和健康的源泉。将“运动”与阳光、空气和水并列,可见其不可或缺性。
不仅如此,运动还是治愈一切的良药,是对抗岁月最好的武器。已迈入耄耋之年的钟南山院士依然精神矍铄、神采奕奕,与他坚持锻炼是分不开的;在钟老看来,运动就像吃饭一样,已成为生活中的一部分。
事实上,迈出第一步“动起来”并不难,难的是“保证强度”和“坚持运动”。
“最佳运动量”没有上限?!
>68.4min/天,糖尿病风险降低74%
据WHO最新指南建议,成年人每周应至少进行150-300分钟的中等强度有氧运动或至少75-150分钟的高强度有氧运动,或两种强度的同等组合。但要想充分地发挥“运动良药”的效果,上述提到的运动量恐怕远远不够。
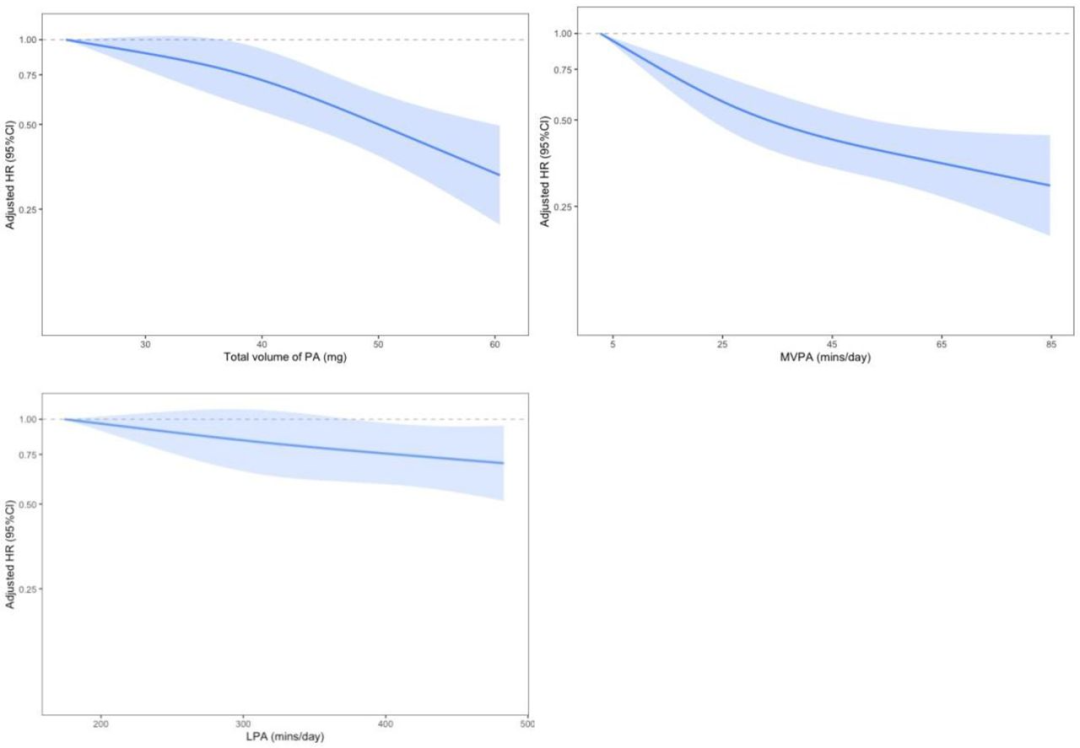
近日,来自华中科技大学同济医学院以及交大医学院的研究团队联合开展的前瞻性队列研究发现:无论是否为2型糖尿病(T2D)的高风险人群,每日积极地参加中等至剧烈强度体育活动(MVPA),仅需6分钟,便能有效降低患病风险;但本研究中“最佳运动量”没有上限,运动时间延长,患T2D的风险也越低!该研究发表在BMJ子刊上。
doi:10.1136/bjsports-2022-106653
研究者从英国生物数据库(UK Biobank)中收集到59,326名参与者,基线时均没有糖尿病、心血管疾病或癌症。为了获得体育活动数据,参与者被要求佩戴加速度计来记录每日MVPA、低强度体育活动(LPA)、久坐行为以及睡眠。
其中,每日MVPA和LPA分别定义为:一天中的清醒时间内,代谢当量(METs)≥3和1.5-2.9的所有行为的时间总和(以min为单位)。并根据体育活动情况的分布比例,将人群分为四个等级。
在长达6.8年的随访期间,共记录到884例T2D事件。
结果显示,体育活动的总量与罹患T2D风险之间存在反比关系。与“懒狗”组相比,每日体育活动总量最大的参与者罹患T2D的风险降低了80%;即使调整了各种风险因素后,该关联依然显著,后者比前者降低了68%。
体育活动情况与T2D发病率之间的关系
对比体育活动总量、MVPA和LPA三大数据后发现,无论是否调整多变量(包括性别、种族、吸烟喝酒、多疾病等),MVPA与T2D的患病风险之间的相关性最强。
具体来说,与几乎不运动的参与者相比,每天进行5.3-25.9分钟的MVPA,罹患T2D的风险会降低37%;
当每日进行的MVPA增加至26.0-68.4分钟时,患T2D的风险下降59%;
运动时间继续延长至68.4分钟以上,T2D的发病率进一步大大降低,约下降74%。
限制立方样条分析
事实上,运动的好处在T2D遗传风险较高的组中彰显得更为“酣畅”!
遗传风险评分与T2D之间有极强的正相关性,即中风险组和高风险组的患病风险分别是低风险组的1.41倍和2.43倍。
而在高、中、低遗传风险组中,基于MVPA的最活跃组和最不活跃组之间的绝对风险差异分别为3.8例、2.1例、1.0例/10万人年。
换句话说,与遗传风险低但最不活跃的相比,具有高遗传风险但运动量最大的参与者,实际上罹患T2D的风险较低。
不同遗传风险组罹患T2D风险对比
综上,高水平的总体育活动,尤其是MVPA,与较低的2型糖尿病患病风险密切相关,而与遗传风险无关。
可谓是“我命由我不由天”,只要保证每天超过5.2分钟的MVPA,就能显著降低患2型糖尿病的风险;至于有家族遗传史的,那就更要加油地增加自己每日的运动量了!
最“续命”运动时长确定!
超11万人数据,应达到WHO推荐的2-4倍
虽然在上述基于2型糖尿病的研究中,“最佳运动量”没有上限;但运动的好处远不止预防T2D,甚至还是“续命良方”。那想要降低死亡率以及多种疾病死亡风险,是否有“最佳运动时长”呢?
来自哈佛大学的研究学者就此问题进行了作答:如果能一直坚持每周进行300-600分钟的中等体力活动,或150-300分钟的剧烈体力活动,或同等的两者组合,与最低的死亡风险有关。该研究发表于Circulation上。
也就是说,当每周运动量达到WHO推荐的2-4倍时,就能实现健康益处的最大化!
https://doi.org/10.1161/CIRCULATIONAHA.121.058162
研究者从护士健康研究(NHS)和卫生专业人员随访研究(HPFS)两大前瞻性队列中收集到116,221名参与者,并对他们进行了中位数达26年的随访(≈一生时长的1/4)。为了统一和量化体育活动情况,研究者计算了各个参与者每周MET-小时的总和,来判定他们的活动强度及时间。
其中,中等体力活动(MPA)为<6METs的活动,包括步行、低强度锻炼、举重、跳健身操等;而剧烈体力活动(VPA)则是≥6METs的活动,包括竞走、跑步、游泳、骑行及其他有氧运动、打网球或壁球、户外工作、爬楼梯等。基于以上定义,研究者计算出每个参与者每周的身体活动总和,并以此分类来对比运动对健康的影响。
从VPA来看:
与坚持“生命在于静止”理念的人相比,只要每周运动量能达到WHO的推荐(75-149min/wk VPA),全因死亡率、心血管疾病死亡率及非心血管疾病死亡率将分别降低19%、31%和15%。
MPA/VPA与全因死亡率、心血管死亡率、非心血管死亡率之间的关系
当运动时长增加到WHO推荐量的2-4倍时,即每周进行150-299分钟的VPA,参与者的死亡率会进一步降低,运动的续命能力也将更完全地显现出来。具体来说,全因死亡率将降低21-23%,心血管疾病的死亡率降低27-33%,非心血管疾病的死亡率降低19%。
不过,在此基础上继续增加运动量,每周超过300min的VPA时,则无法进一步降低死亡率了。也就是说,即使每天坚持50min以上的高强度游泳/骑行,带来的好处也到顶了,健康性价比反而会下降。
从MPA来看:
同样的情况也体现在MPA上。与不长期进行MPA的人相比,如果能达到WHO推荐运动量(150-224min/wk 和 225-299min/wk MPA),全因死亡率将下降20-21%,心血管疾病死亡率下降22-25%,非心血管疾病死亡率将下降19-20%。
而当运动量达到300-599min/wk的MPA,也就是WHO推荐的2-4倍时,死亡率将进一步降低3-13%。具体来说,全因死亡率将降低26-31%,心血管疾病的死亡率降低28-38%,非心血管疾病的死亡率降低25-27%,该健康益处甚至超过了进行150-299min的剧烈体力活动。
不过,当运动时长超过600min时,健康益处并不会继续增加了。
不同时间的MPA与全因死亡率之间的关系
因此,并非集中在更短时间内进行更高强度的运动会更健康,相反持续性地进行一些温和的运动,比如每天跳50-100min的健身操,一周坚持6次,续命性价比最高!
当然,每个人喜欢的运动不同,有的人更热爱打球、游泳或跑步,如果能坚持每周运动并达到推荐量的2-4倍,自然也是极好的。
综合VPA和MPA两种强度的运动来看:
在每周进行的MPA未达到WHO推荐标准的情况下,VPA的运动时长与全因死亡率、心血管疾病死亡率、非心血管疾病死亡率存在着强烈的反向关系,即每周投入剧烈运动的时间越长,降低的死亡风险也越多。但当MPA达到推荐量之后,这种反向关联反而减弱。
其实很好理解,MPA与VPA均能带来健康益处,属于协同的关系。只要动起来,无论是选择跳操、散步,亦或是游泳、骑行,都会比“保持静止”好得多!
MPA与VPA之间的联合作用对各种死亡风险的影响
综上,达到WHO推荐运动量的情况下(每周150-300分钟的MPA或75-150分钟的VPA)死亡率便会有所下降,而当运动量达到推荐量的2-4倍时(每周300-600分钟的MPA或150-300分钟的VPA)死亡风险将降至最低,全因、心血管和非心血管的死亡率降低19-38%。
听起来很多?其实换算下来,每天进行1-2小时的跳操/步行或0.5-1小时的游泳/骑行,一周运动5天,甚至还有2天可以“躺尸”,这么想是不是好得多?
每天仅需30-40分钟MVPA
就能抵消10小时久坐危害
不过,对于当代人而言,运动更为重要的作用在于——抵消久坐带来的危害!久坐堪称“最温柔的慢性自杀”,此前柳叶刀子刊eClinicalMedicine上刊登的、涵盖超36万人的超大型队列研究显示:每天久坐超过6小时,与12种非传染性疾病的风险增加有关!
而只要运动起来,就能让你不再“坐以待病”。由美国哈佛大学T.H Chan公共卫生学院、瑞典卡罗林斯卡医学院和挪威体育科学学院等机构40名科学家发表在British Journal of Sports Medicine上的Meta分析,对9项研究的荟萃分析表明:
每天30-40分钟的中到高强度体育活动,就可以抵消掉10小时久坐给身体带来的负面影响,并降低全因死亡率。
10.1136/bjsports-2020-103270
本研究涵盖了来自四个不同国家的44,370人,平均年龄为65.8岁。参与者被要求佩戴可穿戴追踪设备,以记录久坐和运动情况。统计数据显示,参与者久坐的平均时间为8.5-10.5h/天,而每日的MVPA在8-35min不等。
在4-14.5年的随访期间,共记录到3451名(7.8%)参与者死亡。
结果显示,以运动量最高但久坐时间最少的参与者作为对照组,随着MVPA的时间减少和久坐时间的延长,全因死亡风险也会随之显著上升。
具体来说,在总活动量最高的人群中,与久坐时间最少的相比,中等以及最高久坐时间的参与者的全因死亡风险分别升高20%和88%;
依然以活动量最高且久坐时间最少的为对照组,在总活动量中等的人群中,最少、中等以及最高久坐时间的参与者的全因死亡风险分别升高38%、34%和88%;
而在最不活跃的人群中,与对照组相比,最少、中等以及最高久坐时间的参与者的全因死亡风险分别升高260%、148%和240%。
可见,在不爱运动和长期久坐的“双buff”叠加下,全因死亡风险会大幅度升高!
体育锻炼与久坐时间及全因死亡率之间的关联
但好消息是,当MVPA最高三分位数组中,中等以及最高久坐时间的参与者的全因死亡风险与最低组之间没有统计学差异。
换言之,在MVPA的时间“拉满”后,无论久坐时长如何,均不会影响到全因死亡风险。而本研究的调查数据显示,每天仅需30-40分钟的MVPA,甚至能有效抵消近11个小时久坐带来的健康危害!
MVPA与久坐时间之间的关系
正如研究人员所述:“在每天达到30-40分钟MVPA的活跃个体中,长时间久坐与死亡风险之间的关系与很少久坐的人几乎没有差异。”
对于动不动就久坐超10小时的当代人来说,这一建议真的很有用!选择一项自己喜欢的体育运动,每天坚持30分钟,比如骑自行车、健步走、跳操等等,就能使自己的死亡风险降低到与不久坐的人相似水平,还在不知不觉中降低了多种疾病风险,简直是“弯道超车”啊!
当然,如果是喜欢运动或者疾病高风险的人群,可以适当延长每日运动时间——比如,2型糖尿病高风险人群的最佳运动时长应超过68.4分钟;而对于想要“续命”的人而言,每周推荐进行5-10小时中等体育活动或2.5-5小时剧烈体育运动。
都已经读到这儿了,还不快放下手机,一起动起来吧!
参考文献:
[1]Luo M, Yu C, Del Pozo Cruz B, et alAccelerometer-measured intensity-specific physical activity, genetic risk and incident type 2 diabetes: a prospective cohort studyBritish Journal of Sports Medicine Published Online First: 05 June 2023. doi:10.1136/bjsports-2022-106653
[2]Lee DH, Rezende LFM, Joh HK, Keum N, Ferrari G, Rey-Lopez JP, Rimm EB, Tabung FK, Giovannucci EL. Long-Term Leisure-Time Physical Activity Intensity and All-Cause and Cause-Specific Mortality: A Prospective Cohort of US Adults. Circulation. 2022 Aug 16;146(7):523-534. doi: 10.1161/CIRCULATIONAHA.121.058162. Epub 2022 Jul 25. PMID: 35876019; PMCID: PMC9378548.
[3]Ekelund U, Tarp J, Fagerland MW, Johannessen JS, Hansen BH, Jefferis BJ, Whincup PH, Diaz KM, Hooker S, Howard VJ, Chernofsky A, Larson MG, Spartano N, Vasan RS, Dohrn IM, Hagströmer M, Edwardson C, Yates T, Shiroma EJ, Dempsey P, Wijndaele K, Anderssen SA, Lee IM. Joint associations of accelero-meter measured physical activity and sedentary time with all-cause mortality: a harmonised meta-analysis in more than 44 000 middle-aged and older individuals. Br J Sports Med. 2020 Dec;54(24):1499-1506. doi: 10.1136/bjsports-2020-103270. PMID: 33239356; PMCID: PMC7719907.
来自: 生物谷
更多阅读:














