虽说成年人每天会脱落50-150根头发,但如果出现“每天地上、床上、枕头上都是掉落的头发”“发际线高得和自己的职位不匹配”“头发稀疏到每根都有自己的名字”等现象,确实需要考虑考虑霸*洗发水了
脱发已然成为困扰当代人的“头”等问题,英年早“脱”变得越来越常见。国家卫健委此前披露的数据更是令人“头秃”,中国有超2.5亿人正在饱受着脱发的困扰,而该群体也在不断地年轻化。
尤其是新冠之后,作为“长新冠”症状之一的脱发约在感染后100天左右飙升至高峰。也就是说,在今年春天或会出现“一群蒲公英迎风飘扬”的现象。
事实上,造成“头秃”的原因很多,包括遗传、年龄、药物(如化疗)、睡眠时间、精神压力等等。而在这些因素中,饮食摄入量的影响受到了越来越多的关注,毕竟具有较高的可控性(自己的嘴可以自己管)。
近日,来自清华大学研究团队在针对超1,000名中国男性的调查中发现,年轻男性的含糖饮料(SSB)摄入量与雄性脱发(MPHL)之间有着直接联系——与不饮用含糖饮料的相比,每天饮用含糖饮料超过1瓶(每周>3500mL)的参与者发生脱发的风险比前者显著增加2.36倍!
你喝的哪里是“快乐水”?那分明是“脱发剂”!

https://doi.org/10.3390/nu15010214
SSBs是指添加了任何形式糖(如红糖、玉米糖、玉米糖浆、果糖、葡萄糖等)的饮料,也是膳食添加糖的主要来源。常见的SSB包括:各种含糖汽水、果汁、能量饮料、奶茶以及含糖咖啡等等。在我国,13-29岁的年轻人算得上是SSB消费的主力军(占22.38%),但反过来SSB给年轻人带来了不少健康损害。
为了探究SSB摄入量与MPHL之间的关系,研究者从中国31个省收集到1951名年龄在18-45岁的男性,评估了他们的“头秃”状况以及饮食摄入、生活方式和心理情况等。为统一计算,SSB摄入量被换算为4个等级:大量(>3500mL/周)、适量(1500~3500mL/周)、少量(1~1500mL/周)和永不(0mL/周)。
最终纳入研究的1028名男性中,有426名(42.4%)为正常对照组,另有592名(57.6%)患有MPHL。
与对照组相比,MPHL患者往往更年长,常染头或烫头,多有吸烟和饮酒史,有着更少的体育锻炼和更短的睡眠时间,或有MPHL家族史等。
不仅如此,两组间的饮食差异也很大,MPHL组的参与者更爱吃“垃圾食品”。相比于对照组,MPHL参与者摄入更多的油炸食品、游离糖/蜂蜜、糖果和冰淇淋,同时吃更少的蔬菜。

不同组间的基础信息差别
不过,当代人真的很爱“肥宅快乐水”呢!从饮用SSB的频率来看,在全部人群中有44.6%的每天至少消费一次,另有25.1%和18.5%的参与者分别消费4-7次/周和1-3次/周。
当然并不令人意外的是,MPHL组饮用SSB的频率和总量明显更高—— MPHL组的SSB摄入量为平均4293mL/周,远高于正常对照组(2513mL/周)。同时,在MPHL组中饮用SSB>3500mL/周(相当于每天>1瓶)的参与者占29.4%,而该比例在对照组中仅为17.2%。

MPHL组与对照组的SSB饮用情况
反过来说,摄入的SSB越多或频率越高,“头秃”的风险自然越高。
在粗模型中,与从未饮用的相比,每周饮用SSB超过7次的参与者更有可能患MPHL,后者的患病率是前者的3.36倍;同样,每周饮用量超过3500mL的参与者出现“脱发”的风险比从不喝的显著增加2.53倍!即使在调整后的模型中(包括基础信息、饮食习惯),差异依然显著。
真可谓,喝含糖饮料一时爽,掉发脱发火葬场!

在不同的模型中,SSB摄入量与MPHL患病率之间的关系
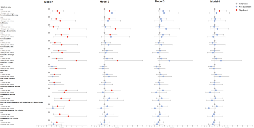
更有意思的是,研究者还进一步探讨了“哪种含糖饮料是‘罪魁祸首’”。
在最基础的模型中,几乎所有类型的SSB均能作为MPHL的风险因素;而在调整了混杂因素后,大多数SSB依然会增加罹患MPHL的风险,尤其要注意含糖果汁、软饮料(可乐、雪碧、芬达等)、能量/运动饮料、加糖的茶饮料等。
不过,值得警惕的是,即使是纯果汁或加了人造甜味剂的坚果奶,依然会增加“头秃”的风险(就挺“秃”然的)。因此,最好的防脱方式就是——和“甜”饮料说拜拜。

不同类型SSB对MPHL风险的影响
综上,含糖饮料喝得越多,男性出现脱发的风险也越高。如果每天饮用量超过1瓶(500mL)时,雄性脱发的发病率会显著增加253%!
别人掉一把,你掉三把头发,这谁扛得住?为了打赢这场“防脱”攻坚战,关键是戒掉各类含糖的“头发消失水”!
当然啦,除了含糖饮料之外,此前Nature上的研究还发现了高脂饮食诱导毛发稀疏和脱发的机制——与正常饮食的小鼠相比,高脂饮食不仅使小鼠变得肥胖,还导致它们原本蓬松的毛发变得稀疏。
具体来说,在高脂饮食的诱导下,小鼠体内发生了代谢应激反应,从而加速毛发稀疏,甚至会导致严重以及不可逆的脱发。
小鼠脱发图
可见,饮食对于”头秃“的影响非常之大!为了防止“春风吹又脱”的现象发生,一定要注意平日饮食呀!
参考资料:
[1]Shi X, Tuan H, Na X, Yang H, Yang Y, Zhang Y, Xi M, Tan Y, Yang C, Zhang J, Zhao A. The Association between Sugar-Sweetened Beverages and Male Pattern Hair Loss in Young Men. Nutrients. 2023 Jan 1;15(1):214. doi: 10.3390/nu15010214. PMID: 36615870; PMCID: PMC9824121.
[2]Morinaga, H., Mohri, Y., Grachtchouk, M. et al. Obesity accelerates hair thinning by stem cell-centric converging mechanisms. Nature 595, 266–271 (2021). https://doi.org/10.1038/s41586-021-03624-x
撰文 | Swagpp
编辑 | Swagpp
来源 | 梅斯医学
来自: 生物谷
更多阅读:

