癌症,一直以来被视为困扰50岁以上中老年人群的疾病。然而,近年来的数据揭示出一个令人担忧的趋势:癌症在50岁以下的年轻患者中发病率急剧上升,也被称为早发型癌症。早发型癌症带来了严重的死亡率和患病率,这一点不容我们忽视。虽然最近的研究已经开始分析特定类型的早发型癌症的发病模式,但对于早发型癌症的全面概述(不仅仅限于特定器官系统)却一直缺失。
2023年8月16日,来自新加坡国立大学的 Benjamin Koh及其同事在JAMA Network Open上发表了一篇题为:Patterns in Cancer Incidence Among People Younger Than 50 Years in the US, 2010 to 2019的文章,该项研究发现从2010年到 2019年,美国人口早发癌症的发病率有所上升,其中胃肠道癌症的发病率增长最快。
此项研究使用了美国国家癌症研究所的SEER项目数据,其主要内容是基于不同地理位置、种族、年龄的各种人群的癌症发病率。通过分析这些数据,作者的主要目的是描述2010年至2019年期间早发型癌症的总体发病率的时间模式。在样本的特征方面,共有562,145名患者被考虑在内。
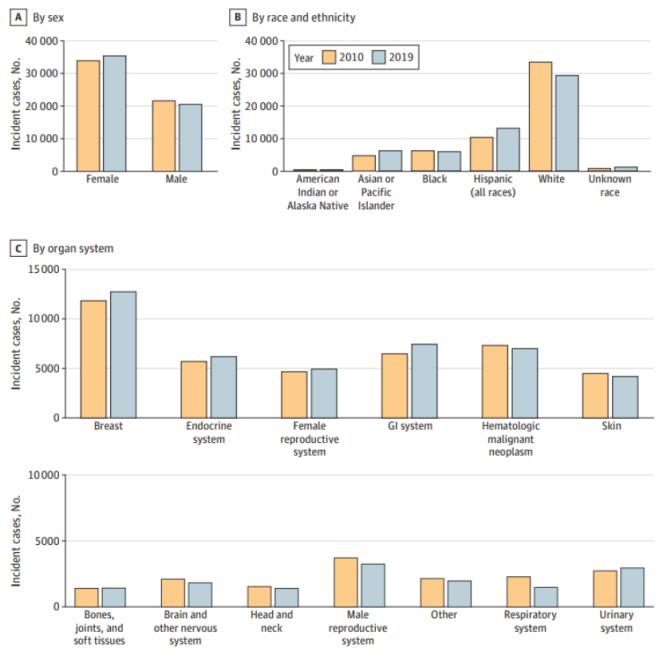
图一:2010年和2019年早发性癌症发病病例[1]
从数据上看,在2010年至2019年期间,癌症的总体发病率略有上升,增加了0.74%。然而,按性别划分,男性患者的早发性癌症发病率下降了4.91%,而女性患者的发病率则上升了4.35%。从种族和民族角度来看,美国印第安人或阿拉斯加原住民、亚洲或太平洋岛民、西班牙裔群体的发病率有所上升,而黑人和白人群体的发病率则分别下降了4.68%和12.20%。此外,根据年龄分层观察,2019年早发性癌症在不同年龄段的发病率有所差异,尤其在年龄为40至49岁的个体中,发病率较高。如图一所示,这些趋势反映了早发性癌症在不同人群中的演变,为我们更深入地了解这一问题提供了重要线索。
图二:2010 – 2019年早发性癌症年百分比变化[1]
从2010年到2019年,早发性癌症的总体发病率出现了上升趋势。与之形成鲜明对比的是,50岁及以上年龄段的癌症发病率在同一时期有所下降。在研究期间,早发性癌症的年龄标准化发病率在女性中上升,而在男性中下降。
按年龄组划分,30-39岁年龄段的早发性癌症发病率上升,但其他年龄段保持相对稳定。然而,50岁及以上年龄段的发病率呈下降趋势。具体来说,50岁至59岁年龄段的平均年龄标准化发病率下降了0.48%,60岁至69岁年龄段下降了0.75%,70岁至79岁年龄段下降了1.01%,而80岁及以上年龄段下降了1.16%。如图二所示,这些数据反映了早发性癌症在不同人群和年龄段中的演变趋势,提供了重要的健康信息。
综上所述,这项研究发现了在过去的十年里,早发性癌症的发病率有所上升,尤其是在年轻人的群体中具有更明显的增加趋势,按照性别划分的话,女性个体的早发性癌症发病率上升,而男性个体的发病率下降,这一趋势主要受到乳腺癌和子宫癌的影响,在早发性癌症中,乳腺癌是最常见的类型,占据发病例数的榜首。胃肠道癌症的发病率增长最快,其次是泌尿系统癌症和女性生殖系统癌症。
总的来说,这项研究突显了早发性癌症发病趋势的多样性和复杂性。这些发现给我们提供了有关早发性癌症的重要信息,早发型癌症的增加可能与饮食、睡眠、吸烟、肥胖、2型糖尿病和环境暴露等变化有关,因此改变自己的生活习惯,避免癌症的发生才能拥有健康生活。
Reference:
1. Koh B, Tan DJH, Ng CH, et al. Patterns in Cancer Incidence Among People Younger Than 50 Years in the US, 2010 to 2019. JAMA Netw Open. 2023;6(8):e2328171. doi:10.1001/jamanetworkopen.2023.28171
来自: 生物谷
更多阅读:



