“抗炎饮食”作为一种新的饮食模式吸引了众多关注。常见的“抗炎食物”包括:果蔬、全谷物、鱼类、茶和部分调味品(生姜、大蒜、辣椒等)。与之相对,“促炎食物”包括:高糖及精制碳水食物、高脂食物和油炸食物、红肉、加工肉类及其他加工零食。
这里的“炎”指的是慢性炎症,一般不为人感知察觉,是影响健康的“隐形杀手”,与多种慢性疾病相关,甚至是痴呆症这种对个人、家庭和社会的影响是巨大的疾病。那么,是否能通过科学调整饮食抑制炎症反应,保护大脑,降低痴呆风险呢?
图片来源:doi: 10.1186/s12916-023-02940-5.
福建医科大学附属协和医院叶钦勇教授、蔡国恩教授团队对“促炎饮食”与痴呆之间的关联产生了浓厚的兴趣,近日在BMC Medicine上发表了相关成果:随着饮食炎症指数(DII,以客观评价食物的炎症效应)水平的增加,患全因痴呆和阿尔茨海默氏痴呆的风险也随之增加。每增加一个单位的DII,全因痴呆的发生率增加4.6%。该研究结论为预防痴呆症的饮食提供了指导。
这项研究利用了大规模队列英国生物样本库(UK Biobank)的数据,涉及166377名参与者,中位随访时间为9.46年,基于互联网的24小时饮食问卷(Oxford WebQ)的数据评估了饮食情况。研究人员探讨了DII与全因痴呆以及阿尔茨海默病痴呆(AD)、血管性痴呆(VD)、额颞叶痴呆(FTD)和其他亚型痴呆的关系,并通过磁共振成像(MRI)为DII与痴呆之间的关系提供一些影像学证据。
在随访期间,1372名参与者先后发生了痴呆,包括543例阿尔茨海默病(AD)、267例血管性痴呆(VD)和54例额颞叶痴呆(FTD)。根据DII的四分位数列出了本研究参与者的基线特征。与DII水平较低的参与者相比,DII水平较高的参与者往往更年轻、女性、无痴呆家族史、能量摄入更低、汤森剥夺指数(TDI)更高、近期饮酒者更少、血压更正常;但肥胖和吸烟的人数更多,获得高等教育的人数以及运动达标的人数更少。
图1. 根据饮食炎症指数四分位数确定研究人群的基线特征。图片来源:doi: 10.1186/s12916-023-02940-5.
重要的是,较高水平的DII与全因痴呆风险增加之间存在显著关联,在趋势检验中,DII与全因痴呆和其他亚型痴呆之间也存在显著的线性关联。
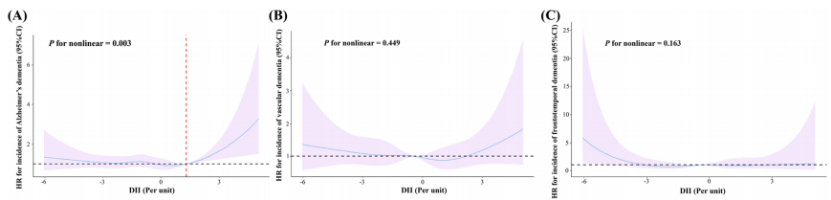
进一步单独分析痴呆的各种亚型,结果显示,当DII升高到一定水平时,阿尔茨海默氏痴呆(AD)风险的增加与DII呈显著正相关,而且AD与DII之间的关系不是简单的线性关系,而是“j型”关系。这种现象出现的原因可能是,当DII过低时,体内抗炎因子水平过度升高,这在一定程度上导致了认知障碍的恶化和AD的进展。
图2. 限制三次样条用于检验A阿尔茨海默氏痴呆、B血管性痴呆、C额颞叶痴呆与DII之间非线性相关性的假设。图片来源:doi: 10.1186/s12916-023-02940-5.
在调整了多种因素后,通过MRI技术,研究人员发现DII与大脑中白质高信号总量呈正相关,海马灰质体积随着DII的增加呈下降趋势,进一步支持了DII与痴呆之间的相关性。
图3. 大脑结构与DII的关系。图片来源:doi: 10.1186/s12916-023-02940-5.
在亚组分析中,按性别、吸烟状况、饮酒状况、体育活动、教育水平、TDI和痴呆家族史分组得到的结果大致一致。相比之下,当按身体质量指数(BMI)分组时,观察到显著的效应变化,在BMI≥25的肥胖人群中,DII增加与痴呆风险升高显著相关。也就是说,高DII饮食介导的高炎症反应可能更容易导致肥胖人群患痴呆。
图4. 饮食炎症指数与痴呆亚组之间的关系饮食炎症指数每增加1的风险比。图片来源:doi: 10.1186/s12916-023-02940-5.
综上所述,这项研究发现,高膳食炎症指数与全因痴呆和阿尔茨海默氏痴呆的高风险相关,BMI和DII之间存在相互作用,但DII与血管性痴呆和额颞叶痴呆的并无显著关系。
尽管如此,食物也不是决定疾病的唯一因素,合理适量,该吃也要吃,健康的饮食和生活方式,才是真正意义上的低风险。
参考文献:
[1] Shi Y, Lin F, Li Y, Wang Y, Chen X, Meng F, Ye Q, Cai G. Association of pro-inflammatory diet with increased risk of all-cause dementia and Alzheimer’s dementia: a prospective study of 166,377 UK Biobank participants. BMC Med. 2023 Jul 21;21(1):266. doi: 10.1186/s12916-023-02940-5.
来自: 生物谷
更多阅读:





