最近发表在《美国心脏协会杂志》上的一项新研究发现,与非糖尿病成人相比,2 型糖尿病成人体内两种表明心脏受损的蛋白质生物标志物水平升高与未发现或无症状的心血管疾病之间存在关联。
测量高敏心肌肌钙蛋白 T 和 N 端前 B 型利钠肽生物标志物浓度的测试通常用于检测心脏的损伤和压力,是诊断心脏病发作和心力衰竭的标准方法。然而,即使血液中这些蛋白质的水平略有升高,也可能是心脏结构和功能发生改变的潜在早期指标,有可能增加未来发生心力衰竭、冠心病或死亡的风险。
研究报告的合著者、巴尔的摩约翰霍普金斯大学彭博公共卫生学院流行病学教授 Elizabeth Selvin 博士说:”我们看到,许多没有心脏病发作或心血管疾病史的 2 型糖尿病患者面临心血管并发症的高风险。根据美国疾病预防控制中心(CDC)的数据,美国约有 2,700 万成年人被诊断患有 2 型糖尿病,当我们观察整个人群时,有些人是心血管疾病的低风险人群,有些人则是高风险人群,因此,一个悬而未决的问题是:’谁的风险最大?’这些心脏生物标志物为我们提供了一个窗口,让我们了解那些可能不会被认定为高危人群的心血管风险。”
研究人员分析了 10,300 多名成年人的健康信息和血液样本,这些信息和样本是 1999 年至 2004 年美国全国健康与营养调查的一部分。研究的目的是确定以前未被发现的无症状心血管疾病是否可以通过2型糖尿病患者和非2型糖尿病患者的心脏蛋白生物标志物水平的升高来确定。研究参与者在参加研究时均表示没有心血管疾病史。
研究人员利用所有研究参与者储存的血液样本,测量了两种心脏生物标志物的水平。研究人员从国家死亡指数中收集了死亡率统计数据。在对年龄、种族、收入和心血管风险因素进行调整后,他们评估了肌钙蛋白和N-末端前B型钠尿肽升高与心血管死亡或所有原因导致的死亡风险之间的关系。
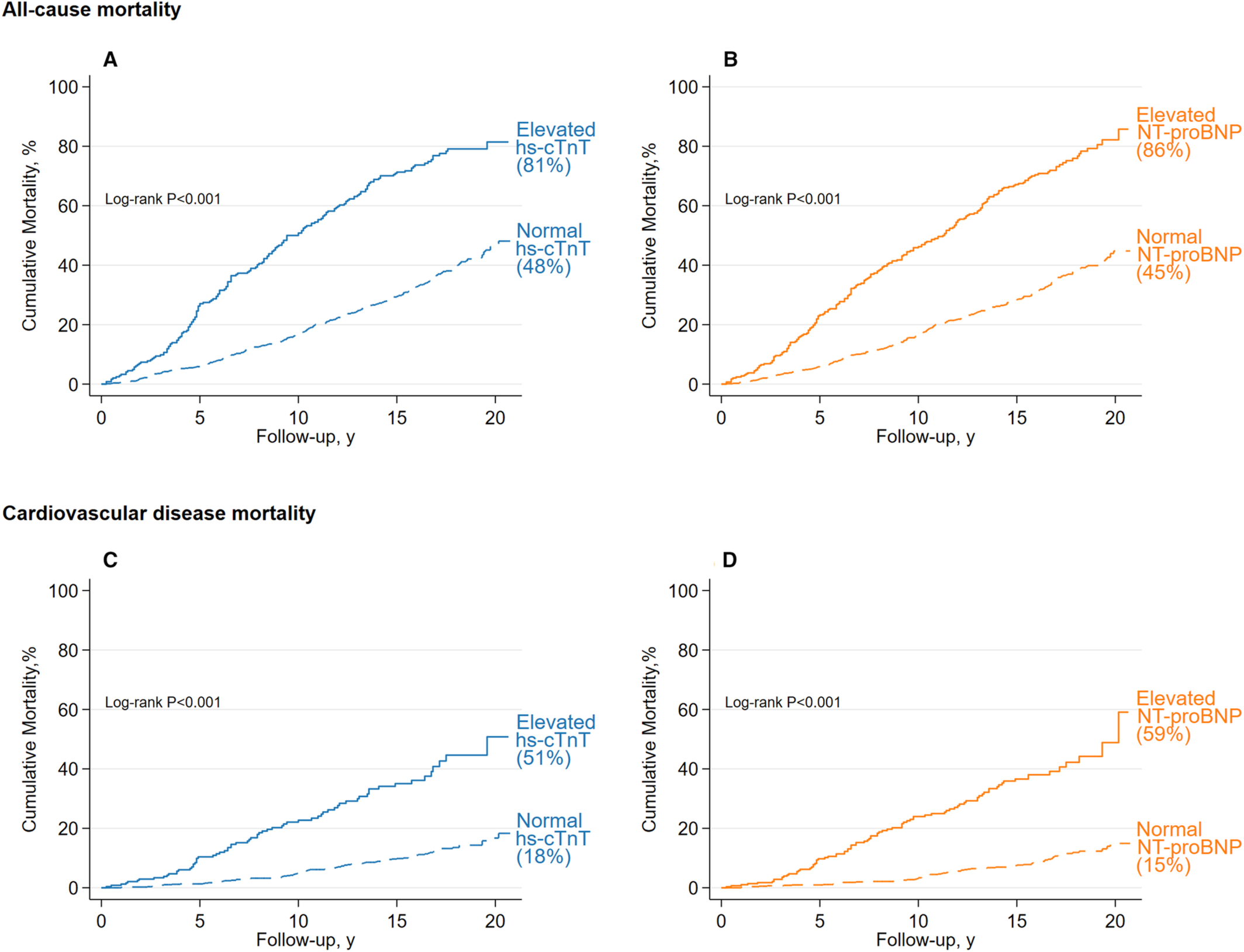
统计发现,三分之一(33.4%)的 2 型糖尿病成人有未被发现的心血管疾病迹象,表现为这两种蛋白标记物水平升高,而无糖尿病的成人中只有 16.1%有这种迹象。
在 2 型糖尿病成人患者中,肌钙蛋白和 N 端前-B 型钠尿肽水平升高与全因死亡风险增加(分别增加 77% 和 78%)和心血管死亡风险增加(分别增加 54% 和两倍多)有关,而血液中这两种蛋白的水平正常。在对其他心血管风险因素进行调整后,这种风险升高的情况依然存在。
在对年龄进行调整后,肌钙蛋白水平升高在2型糖尿病患者中更为常见,在不同年龄、性别、种族/族裔和体重的人群中也是如此。相比之下,在对年龄进行调整后,2 型糖尿病患者的 N 端前 B 型钠尿肽水平与非 2 型糖尿病患者相比没有升高。
在患有2型糖尿病时间较长、血糖控制不佳的人群中,肌钙蛋白升高的发生率明显较高。
“胆固醇通常是我们降低2型糖尿病患者心血管疾病风险的目标因素。然而,2 型糖尿病对心脏的直接影响可能与胆固醇水平无关。”Selvin说:”如果2型糖尿病直接导致心脏小血管受损,而与胆固醇斑块堆积无关,那么降胆固醇药物就无法防止心脏受损。我们的研究表明,要降低2型糖尿病患者的心血管疾病风险,还需要额外的非他汀相关疗法。”
许多研究都侧重于研究高血压和胆固醇等传统风险因素如何影响心血管健康,然而,新的证据表明,在对传统心血管风险因素进行常规评估的基础上,还应增加对某些心脏生物标志物的筛查。
这项研究分析的生物标志物非常强大,可以根据患者的健康状况对其进行系统分类。更常规地测量生物标志物可能有助于我们集中精力为 2 型糖尿病患者提供心血管预防疗法。
自 cnBeta
更多阅读:



