无需定期健身房,无需特定器械,无需专门腾出时间,每天赶路去上班、抢跑去干饭,在不经意间完成短短几分钟剧烈运动,即大大可降低死亡风险!
澳大利亚悉尼大学的Emmanuel Stamatakis和他的同事们,利用穿戴式设备收集大约2.5万人的身体活动数据后分析发现,每天进行3分钟的间歇性剧烈生活方式或体力活动(VILPA),便与全因死亡风险降低39%相关[1]。
快走、爬楼梯、购物(负重前行的那种)、赶公交车等,全都算!
文章于近日发表在Nature Medicine期刊上。
论文首页截图
间歇性剧烈生活方式或体力活动(VILPA)是指日常中零星琐碎的剧烈身体活动,每次持续时长1-2分钟。对于没精力投入运动健身事业或者体质较差的人来说,VILPA是最可行的锻炼方式了。
在获取VILPA情况时,与问卷相比,可佩戴在手腕、大腿等部位的穿戴式设备无疑是更优选择。毕竟设备不会记忆混乱或谎报军情(不排除摇手机凑步数等行为),并且能够持续地记录运动状况,精准捕捉到生活中短暂或不经意间的身体活动。
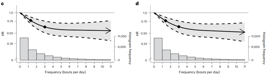
在这项研究中,Emmanuel Stamatakis等人基于英国生物样本库,共招募25241名平均年龄为61.8岁、平时不进行任何运动的参与者。通过给这些参与者佩戴穿戴式设备,研究者们记录他们在一周内的身体活动模式,并发现仅有11.2%的参与者没有进行过VILPA,其他人的VILPA中位每日总时长为4分钟、最高每日总时长为16分钟;VILPA中位每日频率3次、最高每日频率4次。
随后对参与者进行中位时长达6.9年的随访,分析VILPA与死亡风险之间的相关性。
在调整年龄、睡眠、吸烟等因素后,分析结果显示,VILTA多多益善。
如果每次VILTA持续时间按1分钟来算,那么与完全不仅限VILTA相比,每天进行3次VILTA,即与全因风险降低39%(HR,0.61;95%CI,0.50-0.74)、CVD死亡风险降低49%(HR,0.51;95%CI,0.35-0.74)、癌症死亡风险降低30%(HR,0.70;95%CI,0.59-0.84)相关。
每天进行11次VILTA,与全因风险降低48%(HR,0.52,95%CI,0.37-0.72)、CVD死亡风险降低65%(HR,0.35;95%CI,0.15-0.81)、癌症死亡风险降低49%(HR,0.51;95%CI:0.38-0.69)相关。
如果每次进行VILTA时持续时间为2分钟的话,与每次持续时间为1分钟的效果一致。
每日VILTA频率与全因死亡风险之间的相关性(c:单次1分钟;d:单次2分钟)
不仅如此,研究者们还为平日不爱运动的人带来了另一个好消息。(找了个偷懒新借口)
基于62344名经常锻炼的参与者的数据进行分析,他们发现,在每日总时长同等的情况下,VILTA与剧烈运动带来与全因死亡风险、CVD死亡风险、癌症死亡风险降低相关的健康益处相近,并不存在明显差异。
VILTA(蓝线)、剧烈运动(黄线)的每日持续时长与三种死亡风险之间的相关性
总体而言,这项研究结论对于不爱运动、没时间运动的学生党或社畜们极其友好啊!相对于对体力、时间或者场地有要求的各种剧烈运动来说,这种间歇性剧烈生活方式或体力活动在生活里可以分分钟拿下,在疯狂赶路或者坐不上电梯爬楼的过程中,即可顺手获取可观的潜在健康收益。
得益于穿戴式设备的精准度,这是首个分析VILTA长期健康益处的研究。同时需要注意的是,这只是一项相关性分析,虽说研究结果显示VILTA与剧烈运动的效果有得一拼,但研究者们并未表示VILTA能够增强心肺功能,这还需其它研究来进一步证明[1,2]。
参考文献:
[1]https://www.nature.com/articles/s41591-022-02100-x
[2]https://www.sciencemediacentre.org/expert-reaction-to-study-looking-at-short-bursts-of-vigorous-physical-activity-and-risk-of-death/
更多阅读:



