还记得之前网上爆火的那位“硬核”大爷吗?
“大爷,你抽烟吗?”
“抽,一天两包。”
“大爷,你喝酒吗”
“一天两瓶。”
“大爷,都没人管你吗?”
“管我的大夫都死了。”
呃……高危行为,请勿模仿或宣传!
明人不说暗话,奇点糕本糕是三十岁的花季年龄,四五十的身体素质。谁还不知道吸烟、过量饮酒、不锻炼、暴饮暴食和肥胖有损健康啊,可是喊口号的营销文多,实证却少之又少,而且人总是容易在侥幸心理中失去理智,所以现状就变成——健康生活四个字本糕都听倦了,但是动一下算我输!
其实,评估生活方式和预期寿命之间关系的研究早就有了,但主要在北美和欧洲人群中进行[1-3],只有少数研究评估了个人生活方式(如吸烟和饮酒)对中国人群预期寿命的影响[4-6]。因此,亟需一项评估综合生活方式对中国人群预期寿命影响的研究来填补证据空白。
于是乎,北大学者携手中国疾控中心,强强联合,完成了中国第一个定量研究生活方式与预期寿命的研究,填补了这一部分的空白!
这项重磅研究成果刊发于《柳叶刀·公共健康》,由北京大学李立明团队、吕筠团队与中国疾病控制中心赵丽云团队共同完成。该研究明确指出,保持5种低风险生活方式(从不吸烟或非因病戒烟、不过度饮酒、积极锻炼、健康的饮食习惯和健康的体型)与中国成年人预期寿命延长相关[7]。
研究发现,与具有0-1个低风险生活方式的中国人群相比,采取上述5个低风险生活方式的中国男性和女性人群在30岁时的预期寿命分别延长了8.8年和8.1年,主要原因是心血管疾病、癌症和慢性呼吸道疾病相关的死亡率降低。
论文首页
不以规矩难以成事,啥是低风险生活方式?研究人员给出了定义:
☞从不吸烟或因疾病以外的原因停止吸烟;
☞每日饮酒量或每天纯酒精摄入量男性<30克以及女性<15克(以前的饮酒者除外);
☞体育活动水平高于同龄以及同性别人群的平均水平;
☞所有食物组得分4-5分(每天吃新鲜蔬菜,每天吃新鲜水果,每周吃1-6天红肉,每周吃豆类≥4天,每周吃鱼类≥1天。每满足一项标准得1分);
☞体重指数(BMI)在18.5-27.9 kg/m²之间,男性腰围<90 cm,女性腰围<85 cm。
数据采集这块,研究人员也是倾其所能,囊括了三个数据源:
①利用中国慢性病前瞻性研究(CKB)数据,以探究相对死亡风险(全因死亡、心血管疾病、癌症以及慢性呼吸道疾病相关死亡)与个人和综合生活方式之间的相关性。
② 利用中国营养与健康状况监测(CNHS,2015年)数据,以估算生活方式相关因素的性别特异性和年龄特异性的患病率。
③利用全球疾病、伤害和危险因素负担研究(2015年)数据统计死亡率。
研究人员将这三大数据源结合起来,使用生命表法估计了不同生活方式因素下中国人群在30岁时的预期寿命,并利用Arriaga方法对预期寿命差异的特定原因进行了分析。
随后,研究人员排除基线时患有冠心病、卒中、癌症或BMI数据缺失的CKB参与者后,共有487209例参与者的数据被纳入初步分析。
研究分析显示,这些CKB参与者的基线平均年龄为55.1岁(SD 10.5),男性占40.9%。其中,68.0%的参与者具有至少3种低风险生活方式方式,27.8%的参与者拥有至少4种低风险生活方式因素,2.0%的参与者拥有所有5种低风险生活方式因素。
在中位随访11.1年内(IQR 10.2-12.1),CKB中有42496例死亡记录。统计慢性病相关死亡事件时,有16257例死于心血管疾病、14069例死于癌症,排除基线时的慢性阻塞性肺病患者和哮喘患者后有1449例死于慢性呼吸系统疾病。
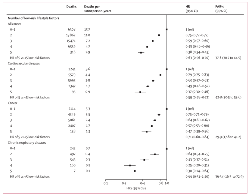
调整多种影响因素后,与拥有0-1个低危险因素的参与者相比,拥有5个低风险生活方式的参与者全因死亡风险降低62%(aHR,0.38;95%CI 0.34-0.43),心血管疾病死亡风险降低63%(aHR,0.37;95%CI 0.30-0.46),癌症死亡风险降低53%( aHR,0.47;95%CI 0.39-0.56),慢性呼吸系统疾病死亡风险降低70%( aHR,0.30;95%CI 0.14-0.64)。
这表明,保持上述5种健康的生活方式有助于降低全因死亡率和慢性病相关的死亡率。
不同数量低风险生活方式下,全因死亡率和病因特异性死亡率的多因素分析结果
对具有0-1个低风险生活方式的参与者分析发现,男性在30岁时的预期寿命平均为41.7年(95% CI 41.5-42.0),女性平均为47.3年(95% CI 46.6-48.0)。而在具有所有5种低风险生活方式的参与者中,男性在30岁时的预期寿命平均为50.5年(95% CI 48.5-52.5),女性平均为55.4年(95% CI 53.5-57.4)。
更直观地讲,在这两组参与者中,男性预期寿命的差异可达8.8年(95% CI 6.8-10.7),女性为8.1年(95% CI 6.5-9.9),表明保持上述5种健康的生活方式有助于大幅延长中国人群的预期寿命。
不同数量的低风险生活方式下,男性与女性在30岁时预期寿命的估算结果
进一步分析发现,男性和女性预期寿命延长的主要原因是心血管疾病(男性为2.4年,占总预期寿命27%;女性为3.7年,占总预期寿命46%)、癌症(男性2.6年,占总预期寿命30%;女性0.9年,占总预期寿命11%)和慢性呼吸道疾病(男性0.6年,占总预期寿命7%;女性1.2年,占总预期寿命15%)相关的死亡率降低。
因不同原因的死亡率降低而增加的预期寿命(左图为男性,右图为女性)
这项研究证实通过公共卫生干预措施增加上述5种健康生活方式或能大幅度延长中国成年人群的预期寿命,为“健康中国2030”蓝图的实现提供了关键助力。
总而言之,言而总之,健康长寿的秘诀就是:戒烟少酒勤锻炼,健康饮食不超重。另外奇点糕还想补一句:心态积极需谨记。
来自:
更多阅读:





