那么“明目”到底是个啥,枸杞到底有啥好处呢?
近期,加州大学戴维斯分校科研团队在营养学杂志Nutrients上发表了一项小型临床研究的结果[1],研究者们发现,每周5天日服28g枸杞,3个月可有效补充类胡萝卜素,效果比保健品还好。
类胡萝卜素水平与年龄相关视网膜黄斑变性(AMD)息息相关,这意味着每天来点枸杞或许有助于预防或延缓AMD的进展。

叶黄素和玉米黄质存在于很多食物之中,比如各种红色、黄色、橙色的水果和蔬菜以及蛋黄和部分绿叶菜。而在所有的已知食物中,红色的浆果含有的玉米黄质是最多的。那么同样红红的枸杞子,是否可以用来补充这些护眼色素呢?
研究者们招募了一批志愿者开展临床研究,经过条件筛选,最终有31名健康成人符合标准,平均年龄56岁,试验组每周有5天日服28g枸杞(还是宁夏产的),对照组吃的是从市场购买的补充剂,每份含有6mg叶黄素和4mg玉米黄质。
枸杞营养很丰富啊,28g枸杞中含有28.8mg玉米黄质,比对照组要高很多。叶黄素没测出来,根据其他的数据,研究者们估计28g枸杞中应该有0.15mg的叶黄素。

每28g枸杞中的营养成分

不同参数下测量都显示吃枸杞可以提升MPOD

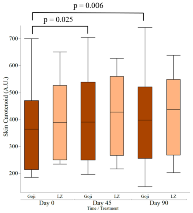
吃枸杞可以有效提升类胡萝卜素评分
更多阅读:
